您可以捐助,支持我们的公益事业。

1元 10元 50元





认证码:  验证码,看不清楚?请点击刷新验证码 必填



  求知 文章 文库 Lib 视频 iPerson 课程 认证 咨询 工具 讲座 Model Center 汽车系统工程   模型库  
会员   
   
OCSMP 认证培训
5月27-28日 线上直播
网络安全原理与实践
5月21-22日 北京+线上
基于模型的数据治理与数据中台
5月19-20日 北京+线上
     
   
 订阅
基于模型驱动的导弹突防概率仿真研究
 
 
 
  421   次浏览      11 次
2026-2-5
 
编辑推荐:
本文结合MBSE复杂系统设计方法,以系统架构模型驱动虚拟样机模型,实现了一个“人在回路”的导弹突防联合仿真系统,以海上战争反舰导弹与拦截弹攻防对抗过程中的突防概率计算为例,进行联合仿真系统可行性验证,希望对你的学习有帮助。
本文来源于战术导弹技术,由火龙果软件Alice编辑,推荐。

摘要

为了改进传统装备研制中基于文档的系统工程研制模式,进一步提高导弹武器装备研制效率,提出了一种基于模型驱动的导弹突防概率计算与仿真方法。通过引入基于模型的系统工程(Model-Based Systems Engineering,MBSE)理念,结合系统建模语言(System Modeling Language,SysML)中的需求图、内部模块图、活动图等视图,对战场上各种武器装备的结构、状态和行为进行描述;引入了人在回路的仿真思想,通过在系统级模型中加入“人在回路”的设计,模拟反舰导弹的实际作战过程,使得指挥人员可以参与到仿真流程中并控制关键节点来影响作战进程,增强了仿真进程的可控性;构建攻防双方导弹运动学模型并结合蒙特卡洛法,实现导弹突防概率仿真计算;以海上战争中反舰导弹打击敌方舰队的导弹突防效能评估为例,验证了联合设计与仿真框架的可行性。

关键词 基于模型的系统工程 ; 蒙特卡洛法 ; 人在回路 ; 系统建模语言 ; 导弹突防概率 ; 模型驱动 ; 联合设计与仿真框架

1 引言

随着信息化与智能化技术飞速发展,武器装备系统在设计环节和论证环节上所暴露出的问题就愈发严峻。传统的武器装备研发采用“画加打”的模式,通过基于文档的方式进行设计,再根据设计将武器装备制造出来,后续经过不断地试射来对设计进行验证,这导致型号设计存在研发周期长、成本高、综合集成化低、各领域专家沟通不便等问题 [ 1-2 ] 。随着新型技术更新迭代的加快、武器装备的功能需求提升,针对传统基于文档的复杂系统装备设计方法的缺陷与不足,基于模型的系统工程(Model-Based Systems Engineering,MBSE)方法论应运而生。MBSE方法使用具有精确语义的模型代替文档,由计算机自动分析一致性和正确性 [ 3-4 ] 。随着MBSE的发展,在航空 [ 5-9 ] 、航天 [ 10 ] 、航海 [ 11 ] 等领域也开始进行MBSE工程实践并应用到作战效能 [ 12 ] 、可靠性、安全性等评估中。其通过剖析复杂系统及其需求,对分系统进行模块化建模,将系统模型作为设计核心并对创建的各模型进行不断的功能验证和模型迭代,最终实现复杂武器装备的系统设计。

反舰导弹与舰空导弹的攻防对抗,一直是海上战争中研究的热点,国内相关研究所及高校就导弹对抗过程进行了建模仿真研究,得出了许多结论 [ 13-14 ] 。刘钢等 [ 15 ] 通过将反舰导弹与目标舰艇之间的攻防过程抽象成排队论中的随机服务系统,计算并分析在饱和式攻击下反舰导弹的突防效能;陈锋等 [ 16 ] 分析了雷达散射截面(RCS)对反舰导弹突防的影响,并计算了在RCS影响下,导弹采取雷达隐身技术被目标舰艇发现的概率;张林等 [ 17 ] 分析了反舰导弹在末制导阶段进行摆式机动或螺旋机动对敌方舰空导弹制导的影响,并建立了突防概率解算模型进行仿真计算,验证了采用合适的机动方式能提升导弹的突防效能;于录等 [ 18 ] 在建立导弹攻防对抗仿真模型的基础上,采用遍历的思想,建立了反舰导弹突破舰载防御系统的全弹道突防数学模型,分析了反舰导弹在不同弹道段的突防能力。

本文首先研究了基于MBSE的交互式仿真技术,提出一种以系统模型驱动虚拟样机模型的导弹突防任务设计和联合仿真框架,构建了与导弹系统级模型相映射的三维作战场景及武器装备行为模型,研发了一套导弹突防概率仿真平台;其次,基于导弹运动学方程,研究了攻防双方导弹的反舰弹末端机动频率、不同飞行弹道与拦截弹发射时机对突防概率的影响,提出了一种基于蒙特卡洛的导弹突防概率计算与仿真方法,并以海上战争中反舰导弹打击敌方舰队的导弹突防效能评估为例,对平台设计与仿真流程进行验证。

2 问题的提出

MBSE方法目前在武器装备研制领域处于起步阶段,很多项目只是把它当作一个工具去套用,却没有真正成体系地将MBSE融入到整个研制全生命周期中。

而传统导弹的突防概率解析计算方式通常采用基于概率统计理论建立概率计算表达式 [ 17 ] 的方式分析弹头数、弹头可靠性、发现概率、跟踪概率、识别概率等分别考虑拦截策略来给出概率解析计算模型 [ 19-21 ] ,该方法变量繁多且大部分数据提前确定,仿真过程中也不会实时变化,不能满足通过上游系统传入数据给虚拟样机进行实时仿真的要求。

本文旨在构建一个由系统建模语言(System Modeling Language,SysML)模型驱动三维虚拟样机模型的导弹突防概率仿真平台,其作为一种模型驱动的系统工程方法,通过在系统设计过程中使用可视化图形建模和仿真分析来完成系统设计工作,有助于设计人员优化系统设计,提高系统开发效率。最后将导弹突防概率通过虚拟坐标系与导弹动力学、运动学相关公式完成导弹虚拟样机的构建,实验过程中需求参数通过 SysML 模型实时传递给导弹虚拟样机模型来完成模拟仿真运算。通过这种自顶而下的正向设计与联合仿真流程,为武器装备研制提供数字化支撑。

2.1导弹突防场景想定

本文中拟定的导弹突防场景为典型的海上战争背景,攻防模型中红方采取侦察卫星、通信卫星、无人机、战斗机、轰炸机、导弹等空天单位,驱逐舰、护卫舰和航母等水面单位,联合指挥中心和车载导弹发射阵地等地面单位,根据作战流程,突破蓝方航母舰队防空系统,成功打击敌方航母并实现作战目标。

根据以上想定作战场景,得到初步的战场态势图,如 图1 所示。本文中突防场景分为两种,在红蓝双方对抗场景中,红方通过侦察卫星搜索并定位到蓝方航母舰队,将舰队构成、当前位置和航行方向通过通信卫星发送给联合作战指挥中心,指挥中心再将目标数据进行整合发送给无人机,派出无人机对舰队进行持续跟踪并传回舰队精确目指数据,指挥中心接收目标信息并进行融合分析,并先后派出轰炸机和战斗机对目标舰队实施打击,火控装置再根据无人机传回的舰队精确数据信息对反舰导弹进行航迹规划并朝着蓝方目标发射,发射完成后无人机实时采集蓝方舰队毁伤信息并传回战场图像,指挥中心可根据目标毁伤情况决定是否继续发动攻击;在导弹突防仿真任务场景中,简化了“侦察-跟踪-打击” 流程中的侦察和跟踪部分,只保留了战斗机朝蓝方舰队发射反舰导弹,拦截导弹根据舰载雷达和火控系统对红方导弹进行拦截的流程。

图1 导弹突防场景想定

Fig.1 Scenario conception of missile penetration

2.2任务场景需求分析

在MBSE中,建立一个完整的系统首先要描述出这个系统所要达成的目标和达成目标的过程中各个子系统需要作出哪些行为,这种系统行为描述的过程则称为需求分析。需求分析可以帮助开发者在整个项目开发过程中明确系统的功能和分系统或其它参与者的职责,它通过采用可视化、结构化的系统性描述方法来确定系统需求和功能之间的关系,也可以避免需求冲突导致的项目冗余性,能有效提高系统的可用性、可靠性和可操作性。

导弹突防仿真系统的需求分为体系和系统两个层级,在作战流程这个体系层级中,侦察卫星作为作战流程的第一环,其搜索范围、目标识别和跟踪能力极大地影响后续机载和陆地火力的部署;无人机则作为侦察卫星的延伸,需要提供目标的精确位置,并传回清晰的战场图像供指挥中心进行后续的指令派发;指挥中心负责收集各方侦察设备传来的信息并进行融合,将目标精确位置和指令下达给各火力单元;战机收集到目标坐标及打击指令,进行火控解算,完成导弹发射;反舰导弹采用末端机动突破敌方拦截完成打击。在导弹突防这个系统层级中,则需要对反舰导弹和拦截系统进行详细的分析,需求包括但不限于导弹的最大飞行高度、航程、最大飞行速度、最高可用过载、滚转角和俯仰角范围、导航能力和敌方舰载雷达探测范围、目标识别能力,火控系统的解算规划能力等。如 图2 所示,本文创建的反舰导弹打击目标舰艇的用例模型,其中两个表示人在回路的外部执行者为指挥人员、战机驾驶员,并列出了反舰导弹突防过程中目标侦察、作战决策、火控解算和打击目标四个用例,后续可以在这四个用例中用状态图和活动图进行功能编写。

图2 任务场景用例图

Fig.2 Use case diagram of task scenarios

3 联合仿真系统架构设计

导弹突防联合仿真系统由国产自研的基于模型系统工程软件SysDeSim.Arch进行架构建模、UE4可视化引擎、通信服务器和Mysql数据库构成,软件之间通过插件建立通信连接。系统架构如 图3 所示,通过系统架构模型驱动可视化模型的动态逻辑行为,并用Mysql数据库记录仿真时的数据。仿真基本流程如下:运行SysDeSim.Arch中建立的系统架构模型,基于人在回路的思想,在架构模型中创建了人机交互面板,操作人员按下面板中的指令按钮,发送对应的指令信息给UE4可视化引擎,可视化引擎通信模块接收指令并对其进行筛选,调用对应武器装备模型的逻辑行为,最后仿真过程中产生的数据将会根据操作人员需求导入至Mysql数据库中,供研究人员查看并验证仿真结果。在以上仿真过程中,架构模型和可视化模型实现了文字描述行为与可视化行为的映射,并以数据的形式验证了作战效能指标。仿真过程中,四个软件连通成一个整体,实现了架构模型、可视化模型、数据模型相结合的 一体化仿真 流程。

图3 导弹突防联合仿真系统架构

Fig.3 Architecture of joint simulation system for missile penetration

4 仿真模型构建

4.1基于MBSE的导弹突防系统模型构建

本文采用模块化建模的方式将复杂的导弹突防场景分解成各个子模块,这些子模块通过模块定义图与任务场景进行逻辑相连,展现了系统的基本构成,再通过内部模块图来描述系统的内部结构和模块间的信息交互情况。

图4 给出了任务场景的模块定义图,任务场景包含了反舰导弹、无人机、侦察卫星、轰炸机、战斗机、敌方航母编队、拦截弹、巡航导弹和指挥中心,本文对敌方单位进行了简化处理,大部分功能(例如雷达探测功能等)包含在编队模块内部,敌方目标状态主要由航母编队展现。

图4 任务场景模块定义

Fig.4 Module definition diagram of task scenario

图5 给出了导弹突防任务场景的内部模块图,内部模块图可以视为模块定义图的延伸,在模型数量方面两者并无较大区别,模块定义图侧重点在于描述系统的模块化结构,而内部模块图则是对系统结构中各个子模块进行说明,并通过端口(接口)表达这些子模块之间存在的行为关系,图中指挥中心作为信息枢纽,承载着最多的信息交互任务,场景信息交互流程为指挥中心将侦察卫星和无人机收集到的敌方编队坐标数据和战场图像传递给战机,再通过指令的形式对战机进行调度派遣,战机则将相应的目标信息装载至火控系统,通过指令发射导弹对敌航母编队进行打击,敌航母舰载雷达探测到我方导弹目标,随即进行火控解算,根据目标距离、角度和速度等的判断,发射导弹进行拦截,我方再由无人机实时传回的战场图像分析导弹突防情况,决定是否继续进行火力打击。

图5 导弹突防系统内部模块图

Fig.5 Internal module diagram of missile penetration system

由于上文中已经将系统分解为侦察卫星、无人机、指挥中心等子模块,需要对这些子模块分别进行功能设计建模,并通过内部模块图中定义的模型间行为关系进行信息的交互。功能设计建模一般采用状态机图、活动图、时序图,如果涉及到模块间的约束关系,本文提出的反舰导弹突防概率计算,其涉及的约束关系很复杂,包括导弹的飞行速度、前置角偏差、视线角速度、机动加速度、导引律常数等,则可以使用参数图来描述模块间的约束关系。

(1)状态机图

状态机图作为一种系统的动态视图,其主要描述的是系统中的状态以及根据某种条件而进行的状态切换。如 图6 所示,以本文中反舰导弹功能设计为例,分为初始化状态、待命状态、战斗状态以及毁伤评估状态,描述的是开机时导弹初始化随即进入待命状态,在接收到导弹发射指令后进入战斗状态,战斗状态为复合状态,导弹将按照“初制导-中制导-末制导”的流程打击敌方目标,最后进行毁伤评估,判断是否完成打击。

图6 导弹状态机图

Fig.6 State machine diagram of missile

(2)活动图

活动图和状态机图都是系统的动态视图,描述的是某个系统随着时间的推移会发生的事件,和状态机图不同的是,活动图可以说明对象连续的行为。如 图7 所示,以本文指挥中心活动图为例,指挥中心承载着作战流程中大部分的信息交互任务,所以指挥中心活动图即描述了整个作战流程。首先仿真开始时,指挥中心节点进行初始化操作,等待着侦察卫星探测并发送敌方航母编队坐标,指挥中心收到敌方坐标后整合信息,并准备将敌方目标信息装载至无人机平台,随后派出无人机前去进一步侦察目标并传回目标信息,指挥中心接收到无人机传来的信息并与其他渠道获取信息进行整合生成打击方案,派遣轰炸机和战斗机前去执行打击任务,最后再根据无人机传来的战场图像判断打击是否成功。

图7 指挥中心活动图

Fig.7 Activity diagram of command center

(3)时序图

时序图通常在用活动图或状态机图描述完系统完整的功能后创建,它用于捕捉之前已经建立好的系统的动态行为,如果说内部模块图描述了系统间的信号端口连接情况,那么时序图就是根据时间和预定逻辑展现系统内各端口内流通的信息。时序图中用生命线来表达一个对象从仿真开始到结束所需要的消息总量,每条生命线都代表系统的参与者,生命线间的箭头则定义了系统间具体交互的信息和传递方向。以 图8 为例,描述了战斗机跟踪敌方目标时的信息活动流程。

图8 时序图

Fig.8 Sequence diagram

4.2 反舰导弹突防概率计算模型构建

本文中设计的反舰弹突防概率解算模型计算方式主要采用构建攻防双方导弹运动学模型,结合蒙特卡洛法中的随机量概念,将其作为导弹攻防过程中的反舰导弹突防概率的影响因素,通过多次仿真试验得出在随机因素的影响下反舰导弹的突防概率。本文反舰导弹突防仿真计算流程如下:

(1)建立坐标系

建立地面、弹体、弹道、速度四大坐标系,便于描述导弹的运动过程,包括攻角、俯仰角、滚转角,以及它们之间的转换关系。

(2)建立反舰弹和拦截弹三维数学模型

导弹数学模型主要根据径向、横向、方位运动学方程、比例导引律和相应的坐标转换公式进行构建。

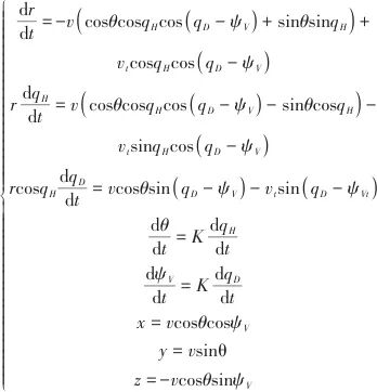
以拦截弹模型为例,将导弹在一个平面内的运动模型三维展开并结合比例导引制导方法进行构建。如 式1 所示, 表示拦截弹与目标距离, 表示反舰导弹飞行速度, 表示拦截弹弹道倾角, 表示拦截弹弹道偏角, 分别表示视线角在铅锤平面和水平平面内的分量, 表示比例导引系数。

(3)仿真计算流程

概率计算采用蒙特卡罗方法,引入拦截弹发射时间作为随机量。根据正向弹道和侧向弹道敌方航母编队雷达探测到目标的时机不同,在第一次拦截过程中,分别采用当反舰弹与敌方驱逐舰弹目距离在50000~45000 m之间和30000~25000 m之间随机,判断当前弹目距离是否小于预设随机量距离范围,判断为真则敌方驱逐舰发射拦截弹进行拦截。当拦截弹与反舰弹之间距离小于毁伤半径时,则判定第一次攻防阶段拦截弹拦截成功;反之则判定第一次攻防阶段反舰弹突防成功。紧接着进行第二次拦截时机判断,在第二次拦截过程中,分别采用当反舰弹与敌方航母弹目距离在40000~35000 m之间和30000~25000 m之间随机,将当前弹目距离与预设随机量范围进行对比判断,如果小于预设量,则敌方航母发射拦截弹进行拦截。当拦截弹与反舰弹之间距离大于毁伤半径,则判断第二次反舰弹突防成功,即反舰弹突破敌方航母编队拦截系统,完成打击任务。通过在实验模拟中多次重复上述过程,可以确定反舰导弹成功突防的概率。

5 联合仿真系统仿真验证

仿真过程中,依次点击 图9 架构设计软件中仿真面板中的信号按钮,系统架构模型内部将会根据操作员发送的指令信号接收情况,按照作战想定执行后续的流程,同时系统模型内部的指令数据会通过通信服务器发送至可视化场景中,再由可视化仿真引擎对接收到的指令数据进行解析和判断,控制并触发相应的装备虚拟样机模型行为,完成“人在回路”的仿真。导弹突防联合仿真初始界面如 图10 所示。

图9 指挥面板

Fig.9 Command panel

图10 导弹突防联合仿真初始界面

Fig.10 Initial interface of missile penetration joint simulation 图 11 ~ 12 中弹道一和弹道二分别表示正向突防弹道和侧向突防弹道,打开数据库中的仿真数据表,分别选择弹道一和弹道二进行反舰导弹突防仿真,仿真部分数据如 表1 所示。

图11 导弹正向突防仿真结果

Fig.11 Simulation results of missile forward penetration

图12 导弹侧向突防仿真结果

Fig.12 Simulation results of missile lateral penetration

▼ 表1 仿真相关部分参数

▼ Table 1 Parameters related to the simulation section

分别对反舰弹正向和侧向突防方式进行2000次试验,仿真结果可通过数据库或可视化软件界面查看。结果为表格形式,表中数据按从左到右排列,包括模拟次数、导弹拦截次数、第一次拦截时反舰导弹与拦截弹的三维坐标、第一次拦截时反舰导弹与拦截弹的最近距离、第二次拦截时反舰导弹与拦截弹的三维坐标、第二次拦截时反舰导弹与拦截弹的最近距离、拦截结果。如果反舰导弹与拦截弹之间的最近距离小于40 m,则视为拦截成功。

对比正向和侧向弹道两次突防结果可知,由于侧向弹道选择绕到地方航母舰队侧翼,从敌方编队雷达探测盲区进行突防,进而导致敌方火控系统作出反应时间变短,影响了导弹拦截时机,最终导致反舰导弹拦截失败。所以反舰弹进行打击任务时,可以采取绕到敌方编队侧面雷达探测盲区位置的方法,减少敌方调度拦截火力的时间,增加反舰弹突防概率。

6 结 论

本文结合MBSE复杂系统设计方法,以系统架构模型驱动虚拟样机模型,实现了一个“人在回路”的导弹突防联合仿真系统,以海上战争反舰导弹与拦截弹攻防对抗过程中的突防概率计算为例,进行联合仿真系统可行性验证。在装备设计流程阶段,首先建立系统需求与架构模型验证想定流程是否合理,接着建立与系统模型中的作战场景相映射的装备虚拟样机模型,最后在多源模型联合仿真阶段,传入仿真参数,并根据结果不断迭代,直至满足设计指标要求,为未来导弹武器系统基于“分析-设计-仿真-验证”的正向设计提供数字化支撑。

 

   
421   次浏览       11 次
 
相关工具

文档生成器(DocGenerator)
代码工程师 Code Engineer
模型检查器 Checker
WebEA
自动建模器(AutoModeler)
 
相关文章

ASPICE 4.0 过程指南
采用SysML对FPGA逻辑单元进行建模(对应到VHDL代码)
DoDAF建模图例(EA+UPDM)
EA集成第三方工具:Polarion、JIRA、AzureDevOps
UML建模指南(建模工具iSpace)
 
相关课程

ASPICE4.0核心开发过程指南
使用NML进行系统分析与建模
基于UML和EA进行系统分析设计
业务建模与业务分析
基于SysML和EA进行系统设计与建模

最新活动计划
OCSMP 认证培训 5-27[在线]
企业网络安全防护体系 5-20[北京]
基于模型的数据治理 5-19[北京]
具身智能技能与实践 6-11[厦门]
AI Spec Coding工程化实践 6-17[北京]
Open Claw和Agent Skill实战 6-25[北京]
 
 
最新文章
SysML图解
UAF 过程指南
代码逆向模型:QT插件Demo
基于企业架构的企业数字化指南
采用SysML对FPGA逻辑单元进行建模
DoDAF建模图例(EA+UPDM)
硬件模型:智驾域控制器(建模工具EA)
UML建模指南(建模工具iSpace)
更多...   
MBSE工具
MBSE平台
建模工具 EA
模型库-Model Center
需求管理-ReqManager
自动建模-Modeler
多级仿真-Sys Simulator
代码工程-Code Engineer
文档生成器-DocGenerator
更多...   
成功案例
某汽车整车企业 MBSE工具链和咨询服务
航天三院某研究所 建模工具、模型库和咨询
零跑汽车 建模工具EA及服务
赛力斯 MBSE工具链和培训服务
高合汽车研发部门 建模工具EA、WebEA、
广汽研究院 SysML+EA+软件分析设计
高合汽车研发部门 建模工具EA、WebEA、
国汽智联 建模工具EA、模型库、WebEA
更多...