| 编辑推荐: |
| 本文来自于博客,博主对于Flume NG实战总结及图解,包括Flume NG简述、单点Flume NG搭建、运行、高可用Flume NG搭建、Failover测试、截图预览等等。 |
|
1.概述
今天补充一篇关于Flume的博客,前面在讲解高可用的Hadoop平台的时候遗漏了这篇,本篇博客为大家讲述以下内容:
- Flume NG简述
- 单点Flume NG搭建、运行
- 高可用Flume NG搭建
- Failover测试
- 截图预览
下面开始今天的博客介绍。
2.Flume NG简述
Flume NG是一个分布式,高可用,可靠的系统,它能将不同的海量数据收集,移动并存储到一个数据存储系统中。轻量,配置简单,适用于各种日志收集,并支持Failover和负载均衡。并且它拥有非常丰富的组件。Flume NG采用的是三层架构:Agent层,Collector层和Store层,每一层均可水平拓展。其中Agent包含Source,Channel和Sink,三者组建了一个Agent。三者的职责如下所示:
- Source:用来消费(收集)数据源到Channel组件中
- Channel:中转临时存储,保存所有Source组件信息
- Sink:从Channel中读取,读取成功后会删除Channel中的信息
下图是Flume NG的架构图,如下所示:

图中描述了,从外部系统(Web Server)中收集产生的日志,然后通过Flume的Agent的Source组件将数据发送到临时存储Channel组件,最后传递给Sink组件,Sink组件直接把数据存储到HDFS文件系统中。
3.单点Flume NG搭建、运行
我们在熟悉了Flume NG的架构后,我们先搭建一个单点Flume收集信息到HDFS集群中,由于资源有限,本次直接在之前的高可用Hadoop集群上搭建Flume。
场景如下:在NNA节点上搭建一个Flume NG,将本地日志收集到HDFS集群。
3.1基础软件
在搭建Flume NG之前,我们需要准备必要的软件,具体下载地址如下所示:
- Flume http://www.apache.org/dyn/closer.cgi/flume/1.5.2/ apache-flume-1.5.2-bin.tar.gz
JDK由于之前在安装Hadoop集群时已经配置过,这里就不赘述了,若需要配置的同学,可参考《配置高可用的Hadoop平台http:// www.cnblogs.com/ smartloli/p/4298430.html》。
3.2安装与配置
首先,我们解压flume安装包,命令如下所示:
| [hadoop@nna ~]$ tar -zxvf apache-flume-1.5.2-bin.tar.gz |
环境变量配置内容如下所示:
export FLUME_HOME=/home/hadoop/flume-1.5.2
export PATH=$PATH:$FLUME_HOME/bin |
flume-conf.properties
#agent1 name
agent1.sources=source1
agent1.sinks=sink1
agent1.channels=channel1
#Spooling Directory
#set source1
agent1.sources.source1.type=spooldir
agent1.sources.source1.spoolDir = /home/hadoop/dir/logdfs
agent1.sources.source1.channels=channel1
agent1.sources.source1.fileHeader = false
agent1.sources.source1.interceptors = i1
agent1.sources.source1.interceptors.i1.type = timestamp
#set sink1
agent1.sinks.sink1.type=hdfs
agent1.sinks.sink1.hdfs.path = /home/hdfs/flume/logdfs
agent1.sinks.sink1.hdfs.fileType=DataStream
agent1.sinks.sink1.hdfs.writeFormat=TEXT
agent1.sinks.sink1.hdfs.rollInterval=1
agent1.sinks.sink1.channel=channel1
agent1.sinks.sink1.hdfs.filePrefix= %Y-%m-%d
#set channel1
agent1.channels.channel1.type=file
agent1.channels.channel1.checkpointDir = /home/hadoop/dir/logdfstmp/point
agent1.channels.channel1.dataDirs = /home/hadoop/dir/logdfstmp |
flume-env.sh
| JAVA_HOME=/usr/java/jdk1.7 |
注:配置中的目录若不存在,需提前创建。
3.3启动
启动命令如下所示:
| flume-ng agent -n agent1 -c conf -f flume-conf.properties - Dflume.root.logger = DEBUG,console |
注:命令中的agent1表示配置文件中的Agent的Name,如配置文件中的agent1。flume-conf.properties表示配置文件所在配置,需填写准确的配置文件路径。
3.4效果预览



之后,成功上传后本地目的会被标记完成。如下图所示:

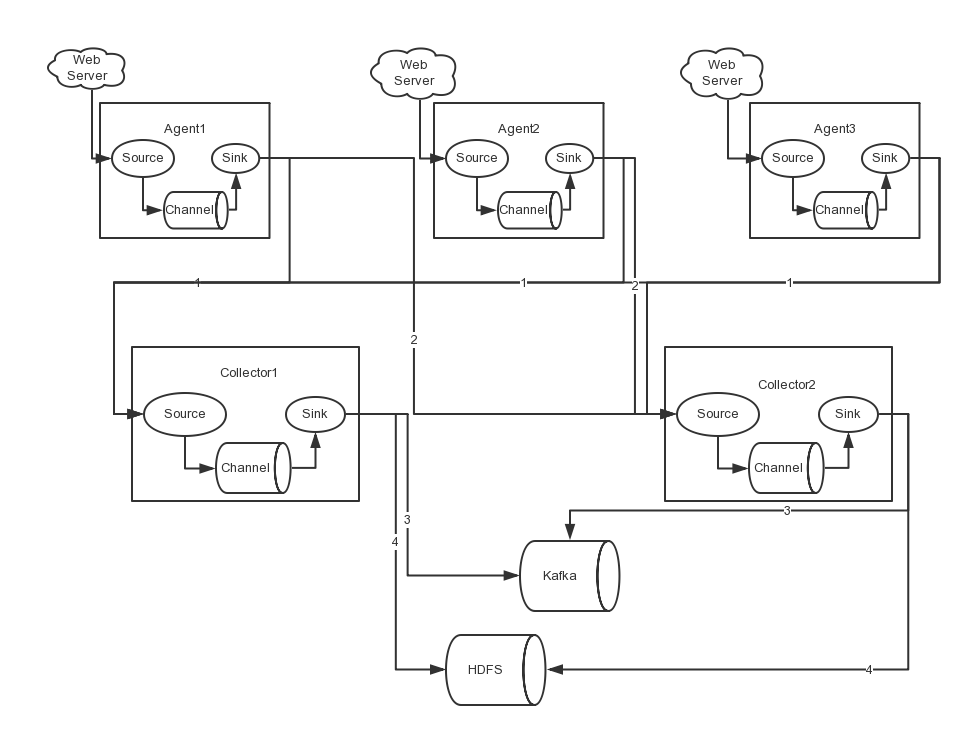
4.高可用Flume NG搭建
在完成单点的Flume NG搭建后,下面我们搭建一个高可用的Flume NG集群,架构图如下所示:

图中,我们可以看出,Flume的存储可以支持多种,这里只列举了HDFS和Kafka(如:存储最新的一周日志,并给Storm系统提供实时日志流)。
4.1节点分配
Flume的Agent和Collector分布如下表所示:
| 名称 |
HOST |
角色 |
| Agent1 |
10.211.55.14 |
Web Server |
| Agent2 |
10.211.55.15 |
Web Server |
| Agent3 |
10.211.55.16 |
Web Server |
| Collector1 |
10.211.55.18 |
AgentMstr1 |
| Collector2 |
10.211.55.19 |
AgentMstr2 |
图中所示,Agent1,Agent2,Agent3数据分别流入到Collector1和Collector2,Flume NG本身提供了Failover机制,可以自动切换和恢复。在上图中,有3个产生日志服务器分布在不同的机房,要把所有的日志都收集到一个集群中存储。下面我们开发配置Flume NG集群
4.2配置
在下面单点Flume中,基本配置都完成了,我们只需要新添加两个配置文件,它们是flume-client.properties和flume-server.properties,其配置内容如下所示:
#agent1 name
agent1.channels = c1
agent1.sources = r1
agent1.sinks = k1 k2
#set gruop
agent1.sinkgroups = g1
#set channel
agent1.channels.c1.type = memory
agent1.channels.c1.capacity = 1000
agent1.channels.c1.transactionCapacity = 100
agent1.sources.r1.channels = c1
agent1.sources.r1.type = exec
agent1.sources.r1.command = tail -F /home/hadoop/dir/logdfs/test.log
agent1.sources.r1.interceptors = i1 i2
agent1.sources.r1.interceptors.i1.type = static
agent1.sources.r1.interceptors.i1.key = Type
agent1.sources.r1.interceptors.i1.value = LOGIN
agent1.sources.r1.interceptors.i2.type = timestamp
# set sink1
agent1.sinks.k1.channel = c1
agent1.sinks.k1.type = avro
agent1.sinks.k1.hostname = nna
agent1.sinks.k1.port = 52020
# set sink2
agent1.sinks.k2.channel = c1
agent1.sinks.k2.type = avro
agent1.sinks.k2.hostname = nns
agent1.sinks.k2.port = 52020
#set sink group
agent1.sinkgroups.g1.sinks = k1 k2
#set failover
agent1.sinkgroups.g1.processor.type = failover
agent1.sinkgroups.g1.processor.priority.k1 = 10
agent1.sinkgroups.g1.processor.priority.k2 = 1
agent1.sinkgroups.g1.processor.maxpenalty = 10000 |
注:指定Collector的IP和Port。
#set Agent name
a1.sources = r1
a1.channels = c1
a1.sinks = k1
#set channel
a1.channels.c1.type = memory
a1.channels.c1.capacity = 1000
a1.channels.c1.transactionCapacity = 100
# other node,nna to nns
a1.sources.r1.type = avro
a1.sources.r1.bind = nna
a1.sources.r1.port = 52020
a1.sources.r1.interceptors = i1
a1.sources.r1.interceptors.i1.type = static
a1.sources.r1.interceptors.i1.key = Collector
a1.sources.r1.interceptors.i1.value = NNA
a1.sources.r1.channels = c1
#set sink to hdfs
a1.sinks.k1.type=hdfs
a1.sinks.k1.hdfs.path = /home/hdfs/flume/logdfs
a1.sinks.k1.hdfs.fileType=DataStream
a1.sinks.k1.hdfs.writeFormat=TEXT
a1.sinks.k1.hdfs.rollInterval=1
a1.sinks.k1.channel=c1
a1.sinks.k1.hdfs.filePrefix=%Y-%m-%d |
注:在另一台Collector节点上修改IP,如在NNS节点将绑定的对象有nna修改为nns。
4.3启动
在Agent节点上启动命令如下所示:
| flume-ng agent -n agent1 -c conf -f flume-client.properties -Dflume.root.logger = DEBUG,console |
注:命令中的agent1表示配置文件中的Agent的Name,如配置文件中的agent1。flume-client.properties表示配置文件所在配置,需填写准确的配置文件路径。
在Collector节点上启动命令如下所示:
| flume-ng agent -n a1 -c conf -f flume-server.properties -Dflume.root.logger = DEBUG,console |
注:命令中的a1表示配置文件中的Agent的Name,如配置文件中的a1。flume-server.properties表示配置文件所在配置,需填写准确的配置文件路径。
5.Failover测试
下面我们来测试下Flume NG集群的高可用(故障转移)。场景如下:我们在Agent1节点上传文件,由于我们配置Collector1的权重比Collector2大,所以Collector1优先采集并上传到存储系统。然后我们kill掉Collector1,此时有Collector2负责日志的采集上传工作,之后,我们手动恢复Collector1节点的Flume服务,再次在Agent1上次文件,发现Collector1恢复优先级别的采集工作。具体截图如下所示:


- Collector1宕机,Collector2获取优先上传权限

- 重启Collector1服务,Collector1重新获得优先上传的权限

6.截图预览
下面为大家附上HDFS文件系统中的截图预览,如下图所示:


7.总结
在配置高可用的Flume NG时,需要注意一些事项。在Agent中需要绑定对应的Collector1和Collector2的IP和Port,另外,在配置Collector节点时,需要修改当前Flume节点的配置文件,Bind的IP(或HostName)为当前节点的IP(或HostName),最后,在启动的时候,指定配置文件中的Agent的Name和配置文件的路径,否则会出错。
8.结束语
这篇博客就和大家分享到这里,如果大家在研究学习的过程当中有什么问题,可以加群进行讨论或发送邮件给我,我会尽我所能为您解答,与君共勉!
|