| 编辑推荐: |
本文主要介绍了逻辑表达的秘术相关内容,希望对你的学习有帮助。
本文来自于微信公众号麻瓜通识课,由火龙果软件Alice编辑、推荐。
|
|
一、金字塔原理及结构

职场中有很多关于沟通的困惑,也有很多场景需要提升表达说服力。对于表达者来说,一个关键目标让受众理解和认同认同自己的观点,进而扩大思想观点的影响力。要达成目标,优秀的思想、精彩的修辞和易于与受众达成共识的逻辑结构是三个必不可少的要素。

金字塔原理是一种思考方法和沟通方法,包括归类概括、逻辑设计、结构构建等方面的方法或技巧,可以广泛地应用在思考分析、沟通表达和演讲报告等场景中。利用金字塔原理构建出来的逻辑结构,我们称之为金字塔结构,它的特点是重点突出、层次分明、逻辑清晰、简单易懂,可以广泛应用在主持演讲、工作部署、书面表达、问题解决等场景。运用金字塔结构,可以帮助我们形成重点突出、层次分明的表达,基于金字塔结构的表达,更易于受众理解、记忆和接受并认同;

让我们从金字塔结构的四项基本原则、纵向关系、横向关系和MECE原则这四个方面,了解金字塔结构的特征和要素,揭开金字塔结构的神秘面纱。

1、四项基本原则:构建逻辑清晰的表达
金字塔结构有四项基本原则,即:结论先行、以上统下、归类分组、逻辑递进。
原则一:结论先行
结论先行,即先从结论说起,把中心思想或关键论点放在逻辑表达的开头,从而突出呈现,但如果沟通对象对于我们所汇报的内容比较陌生,就不能直接抛出结论,而是要主题先行。在汇报之前,要先根据沟通对象对于内容的熟悉程度,来确定是结论先行还是主题先行,继而遵循一定的逻辑顺序来组织语言,这样才能取得良好的沟通效果。
在一般的逻辑表达中,如果采取结论先行的方式,建议遵循如下的逻辑顺序来进行表达:先重要后次要、先全局后细节、先结论后原因、先总结后具体、先结果后过程、先论点后论据,呈现解决方法时可以用以下结构:

呈现解决方法的金字塔结构
原则二:以上统下
以上统下,即运用金字塔原理进行表达时,上一层级的内容必须是下一层级内容的抽象概括。以上统下,实际上是金字塔结构中纵向关系的具体体现。

金字塔结构中以上统下的原则
在进行内容观点的总结概括时,可以遵循由下而上的顺序,将较为具体的下一层思想概括为更为抽象的上一层思想。同时,归入同一组的内容必须同属一个范畴,且和上一层的内容是包含关系。
原则三:归类分组
归类分组,即利用分类的方法处理素材,每一组的思想观点必须在逻辑上属于同一范畴,且在逻辑上具有共同点,能够用单一名词概括该组的所有思想。

按水果、蔬菜、奶制品进行归类

按照个人喜好,分类9种健康食物
事物的分类方式从来不是唯一的,使用不同的逻辑,同样的素材就可以拥有多种不同的分类方式。虽然不同场合有着不同的分类方式,但是好的分类都有一个共同的特点:遵循一定的逻辑,而且这个逻辑要符合大众的共识。
原则四:逻辑递进
逻辑递进,即同一层级的观点或内容必须在逻辑上属于同一范畴,需要按照一定的逻辑顺序来组织,而选择的逻辑顺序展现了在组织逻辑时的分析过程。逻辑递进关系一般分为归纳关系和演绎关系两类,对应金字塔结构的横向关系。
比如第一层级的三个要点:A、B和C,三者的排列顺序必须遵循一定的逻辑。第二层级的三个组,也需要分别设计各组的逻辑顺序。

同层级的要点排列,需遵循一定的逻辑顺序

第一层级按餐前、餐中、餐后的逻辑递进
在设计金字塔结构时,遵循结论先行、以上统下、归类分组、逻辑递进这四项基本原则,可以从纷繁复杂的信息中概括归纳出要点或关键词,再按一定的逻辑顺序,就能构建出重点明确、层级分明、逻辑清晰的表达。
2、纵向关系:巧用设问引导受众
金字塔结构中的两种典型关系:纵向关系和横向关系。纵向关系是指主题(上层)和子题(下层)之间的关系。具体而言,主题必须是子题的总结与概括,而子题必须为主题提供解释和支持。

>纵向关系的基本结构
在实际应用中,运用纵向关系建立疑问/回答式的对话,能够很好地吸引受众的注意力,从而引导受众按照你所设计的方向去思考。比如,可以先设问“为什么”,引起受众的短暂思考,然后顺藤摸瓜,针对这个“为什么”讲解下一层级要点。

通过设问“为什么”,引导受众
注意,在设计纵向关系时,要确保上一层级的思想观点必须是下一层级的思想观点的总结与概括,而下一层级的内容必须是上一层级的内容的解释和支持。
3、横向关系:活用演绎逻辑与归纳逻辑
横向关系是指同一层级上各项要点之间的关系,或者同一组内的各项要点之间的关系

横向关系的基本结构
横向关系一般分为演绎逻辑和归纳逻辑两类
横向关系一:演绎逻辑
所谓演绎逻辑,即利用逻辑推理的方式来组织材料和观点,也被称为必然性推理。在使用演绎逻辑表达呈现时,可以带着受众一起进入逻辑推理的过程,会给受众一种分析比较完整和全面的感觉,从而让受众和表达者一起得出结论并认可其必然性。
常见的演绎逻辑有:【大前提→小前提→结论】 【问题→原因→解决方法】

运用演绎逻辑设计表达顺序
当需要突出说明采取某种方案的原因时,即侧重于说明why,可以参考“问题→原因→解决方法”的逻辑结构进行表述。

说明原因的金字塔结构
横向关系二:归纳逻辑
所谓归纳逻辑,即通过时间顺序、空间(结构)顺序、重要性顺序来组织材料和观点。
时间顺序
常见的时间顺序主要分为两种:一是按照绝对时间来设计逻辑顺序。二是根据相关业务流程,列出流程步骤中的关键点,继而梳理出逻辑顺序。

按照业务流程设计逻辑顺序
通常表达者利用时间顺序进行汇报时,如果汇报内容覆盖了整个时间轴或者所有的流程步骤,就会给受众留下一种所表述内容比较完整的印象。
空间(结构)顺序
常见的空间顺序可以分为两种:一是按照现实的空间来进行设计的逻辑顺序;二是按照虚拟的空间或结构来设计的逻辑顺序。

按照现实空间设计逻辑顺序
在分析问题起因时,一般建议按照鱼骨图6M结构,从人员(manpower)、机器(machine)、物料(material)、方法(method)、环境(motherland)、测量(measurement)等六个方面寻找起因。

按照虚拟空间设计逻辑顺序
重要性顺序
重要性顺序,也称程度顺序,是按照不同程度的重要性来进行设计的逻辑顺序。但需要注意的是,重要性顺序所针对的一组事物,必须具有某种共同点,且能被聚焦在一起。比如:两大问题、三项措施、四个方面、五大要素等。一般按重要性从高到低排序,或者说把最具有该特性的事物排在第一位,即先强后弱、先重要后次要
汇报者按照重要性顺序来分享内容与观点,可以利用最有力的论据来说服受众,减少被受众质疑和挑战的可能,从而避免在汇报表达的初期,汇报者就因论据较弱而被受众要求解释补充。
综上,横向关系中的演绎逻辑与归纳逻辑,为口头或是书面表达提供了四种可能的横向逻辑表达顺序:1)演绎逻辑:演绎顺序;2)归纳逻辑:时间顺序、空间(结构)顺序、重要性顺序
4、MECE 原则:实现不重叠、无遗漏的分类
MECE原则,全称mutually exclusive collectively exhaustive,意思是“相互独立,完全穷尽”。“相互独立”意味着对于整体的划分是在同一维度上的,并且有明确区分,不可重叠,即“分清”;“完全穷尽”则意味着对于整体的分解是全面、周密、完整、无遗漏的,即“分净”。

MECE原则的两大基本概念
常见的符合MECE原则的分解法有以下五种切入点:

MECE原则分解法的五种切入点
按照A与非A进行分解。例如:国内与非国内(国外);大企业与非大企业(中小企业)。
按照公式进行分解。如根据公式总销售额=员工人均销售额×员工数,那我们可以将提升总销售额的工作分解为提高员工人均销售额、稳定销售团队并增加销售人员这三方面的工作。
按照流程进行分解。可以将已知业务流程作为分解依据,继而进行各要素的分解。如销售流程:拜访→商谈→报价→签约。
按照常用要素进行分解。如3C、4P、QCD、5W2H等框架。
战略决策按3C要素分解:3C即customer(客户)、competitor(竞争对手)和company
(公司)三个维度,以此来进行骨架结构的分解。
营销策略按4P要素分解:4P即product(产品)、price(价格)、place(渠道)、promotion(促销)四个要素,以此来进行逻辑结构的划分。
企业运营按QCD要素分解:QCD是quality(质量)、cost(成本)和delivery(交付)三个要素,也可以勇于对于产品或供应商的评估选择。
项目管理按5W2H要素分解:5W 即why(为什么)、what(做什么)、who(何人做)、when(何时做)、where(何地做);2H
即how(如何做)、how much/many(多少)。
与时俱进补充或分解。因时而异、与时俱进,将事物按新方式进行分解或者将一些新元素作为原分类的补充;
二、灵活构建金字塔结构的步骤
从标题设计、序言设计和主体构建三大步骤入手,可以逐步构建起一个标准的金字塔结构。

1、标题设计:以4U/TOPS原则塑造第一印象
起一个精彩的标题,就相当于完成了一半的文章,足见标题的重要性。此外,我们也常用“凤头、猪肚、豹尾”来衡量一篇文章的优劣。常用设计标题的两大原则:4U原则和TOPS原则。
标题设计的4U原则:4U原则采取的是直接将利益呈现给受众的策略,从而增强标题的吸引力。具体是指:
实用性 Usefulness:所谓实用性,即受众通过标题,可以得知看完这篇文章后能获得什么。
独特性 Uniqueness:所谓独特性,即通过标题告诉受众为什么要读这篇文章,文章有何独特之处。
紧迫感 Urgency:所谓紧迫感,即通过标题告诉受众为什么现在就得去阅读这篇文章。塑造紧迫感与危机感,可以让受众做出立即阅读的决策。
口号式 Use slogan:把标题设计成口号式,可以唤起受众的责任心和使命感。
标题设计的TOPS原则:
T代表 Targeted to our audience,意为瞄准受众,即标题抓住受众的需求点、利益和关注点;
O代表 Overarching,意为周延完整,即标题内容完整,结构清晰;
P代表 Powerful,意为掷地有声,即标题有力度,能触动受众;
S代表 Supportable,意为言之有据,即标题有依据,能说服受众。
2、序言设计:以SCQA结构呈现精彩开场
精彩的序言或开场白能起到概述全文要点的作用,可以迅速提升受众对你所表达内容的好感。一般情况下,可以按照S(背景,situation)、C(冲突,complication)、Q(疑问,question)、A
(回答,answer)的结构来组织内容,简称为“SCQA结构”,其中:
S:背景,指与主题内容相关的一些公认的事实与背景
C:冲突,指某种不利的变化或者混乱,促使受众产生疑问,推动序言故事情节发展。
Q:疑问,根据之前的冲突和文章的核心论点设计疑问,通过明知故问的方式过渡到之后的答案。
A:回答,即给出之前问题的答案,在序言中向受众传递答案,避免让受众在混乱的思考中摸索,使受众更容易接受表达者的思想。

SCQA结构中的四大要素
在序言设计的“SCQA结构”中,四个要素:S(背景)、C (冲突)、Q(疑问)、A(回答)的顺序也可以有所变化或者有所取舍,以创造出不同的表达效果:
基本结构:S(背景)→ C(冲突)→ Q(疑问)→ A(回答)
标准式:S(背景)→ C(冲突)→ A(回答)
开门见山式:A(回答)→ S(背景)→ C(冲突)
突出忧虑式:C(冲突)→ S(背景)→ A(回答)
突出信心式:Q(疑问)→ S(背景)→ C(冲突)→ A(回答)
要想开宗明义,以结论吸引受众,就用“开门见山式”的序言结构;要想强化矛盾,以冲突引起受众注意,就用“突出忧虑式”的序言结构;要想突出解决方案,以答案使受众信服,就用“突出信心式”的序言结构。
3、主体构建:两种方式搭建金字塔结构
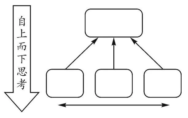
要想受众精准理解所表达的内容,就需要对于表达的主体进行精心的构建。通常情况下,主体的构建方式有两种:自下而上或自上而下。

自下而上的主体构建

自上而下的主体构建
方式一:自下而上的主体构建
当我们面对大量信息且需要整理后再进行沟通汇报时,一般建议采取自下而上的主体构建方式。这种方式适用于在构建主体前并没有确定的观点或论点。自下而上设计时,需要将大量的信息进行归类分组;
在构建过程中,主要运用的规则是归类和概括。归类就是将有共同特征的内容进行归纳分类,概括就是将低一层次的思想观点概括成上一层次的思想观点。

自下而上主体构建的规则
具体的构建过程如下:
步骤1:列出所有想要表达的要点。
步骤2:找出各要点之间的逻辑关系(归类+横向),构建初步的框架结构。
步骤3:按需收集新素材,并调整素材分类,逐步完善框架结构。
步骤4:形成完成的框架结构和完整的内容,概括出结论。

自上而下的主体构建过程
方式二:自上而下的主体构建
当表达者有明确的论点,且需要展现说服力的时候,一般建议采取自上而下的主体构建方式。同时,这一方式也要求表达者对业务情况比较熟悉。
在构建过程中,主要运用的规则是论证和MECE。论证即利用逻辑推理的方式来组织材料和观点,MECE原则就是“相互独立,完全穷尽”;自上而下设计时,需要根据主题或中心思想,确定有足够支撑性的下一级要点;

自上而下主体构建的规则
具体的构建过程如下:
步骤1:设计标题(确定主题/中心思想);
步骤2:分析受众的需求和关注点,设计序言(列出背景S、冲突C、问题Q及答案A),确定要点;
步骤3:获取、组织、分析支持上层观点的内容和材料,将内容和要素放在对应的要点下;调整要点,并重新循环执行此步骤3;
步骤4:设计横向逻辑:演绎法或归纳法;完成金字塔。

自下而上的主体构建过程
主体构建的过程,无论是自下而上还是自上而下,都体现出了金字塔结构中纵向逻辑的设计;而处于同一层级或同一分组的各项要点、内容、材料,也要按照一定的逻辑顺序(横向逻辑顺序)来组织排列。相较于体现上下层关系的纵向逻辑,横向逻辑的设计更难、更具挑战性;
三、金字塔结构的拓展逻辑设计
在金字塔结构中,纵向逻辑搭建起了逻辑表达的基本框架和层级,横向逻辑则用于要点展开时的逻辑递进。除了讲解过的3种常见归纳逻辑:时间顺序、空间顺序和重要性顺序,还有6种更加高级的逻辑设计:

钟摆逻辑
钟摆逻辑通常由左摆选项、中间选项、右摆选项构成,属于演绎推理。通过描述相互对立的选项,辩证地进行推理,从而建立起对“合理”的中间选项的渴望。
钟摆逻辑
钟摆逻辑实质上属于演绎逻辑,只是相对于一般的推理逻辑更为复杂些而已。钟摆逻辑有两种具体的设计方法:温和形式和激进形式。
温和形式:仅提出妥协方案;所谓温和形式,即不试图推翻左摆选项或右摆选项,而是努力加以调和,以接近中间选项,从而提出妥协方案。简而言之,温和形式就是承认存在不同的观点,但努力走向秉持中间立场的选项。表达时候可以先叙述左摆选项,然后叙述右摆选项,然后折中到中间选项;
激进形式:捍卫现状或己方的方案。即推翻左摆选项和右摆选项,只留下中间选项,以此来捍卫或者坚持自己的方案或观点。表达时候可以先拒绝左摆选项,然后拒绝右摆选项,然后只留下中间选项
利用钟摆方式进行逻辑设计时,会呈现出表达者自始至终都站在受众的角度思考和分析问题的感觉,这种换位思考的姿态,加之钟摆方式中演绎逻辑的运用,会使得受众更容易被说服。
多米诺效应
多米诺效应,也叫骨牌效应,是以一个事件引发另一个事件来展开话题,从而设计出连锁反应的逻辑顺序,属于演绎逻辑,具有强烈的推理性;主要有两种形式:
多因一果:为了强调结果的必然性,可以设计多因一果的逻辑顺序。

多因一果示例
一因多果:为了强调原因的重要性,可以设计一因多果的逻辑顺序。

一因多果示例
收益逻辑
收益逻辑是利用受众趋利避害的心理,将正面收益呈现给受众后,又把负面害处分析给受众,从正反两方面的对比来影响和说服对方。属于归纳逻辑,收益逻辑通过正反两部分的对比来突出观点,从而构建起说服力。收益逻辑的设计要从两方面入手:正向收益方法和反向收益方法。
正向收益方法:即向受众推介多个收益,用利益去诱惑和引导受众,从而使受众理解、认同、跟随表达者的思想观点。
反向收益方法:即通过向受众分析害处,警告可能的风险和后果,用于提醒或刺痛对现状满意的受众。
通常,在一般情况下,我们会针对正向收益和反向收益各设计三五个要点:一方面,可以向受众传达问题考虑得比较全面的感觉;另一方面,要点的数量也符合人脑的记忆规律,不至于要点太多而影响受众的理解、接受和记忆。
二维模型
二维模型,即设计出两个维度,且每个维度的设计相对灵活,既可以设计成演绎逻辑,又可以设计成归纳逻辑。比如常见的时间管理模型,就是典型的二维模型。

通过二维模型来呈现复杂信息,不仅会让决策者从纷繁复杂的信息中理出清晰的逻辑线索,也会给受众带来一目了然的感觉。
层化模型
在层化模型中,一般蕴含两种逻辑:向上逻辑和向下逻辑。向上逻辑和向下逻辑可以根据内容需要,设计成演绎逻辑或归纳逻辑。

层化模型中的向上逻辑与向下逻辑
当需要设计的素材之间有逐步提升的趋势(如初、中、高级工程师和专家等),或是下层会导致上层的结果(如能力、结果、品牌或数据、信息、智能等),抑或是上下层之间的逻辑不是简单的单向关系,而兼具正向和逆向关系,在这些情况下,都可以考虑运用层化模型来进行逻辑设计。

利用层化模型呈现职业发展
同心圆模型
同心圆模型实质上是视觉优化后的金字塔结构,相当于把金字塔结构中横向展开的每一级内容或要点,转换成360度合拢的同心圆。在同心圆模型中,圆心为金字塔结构的中心思想,内圈即金字塔结构的第一层上的一级思想,中圈即金字塔结构的第二层上的二级思想,外圈即金字塔结构的第三层上的三级思想,以此类推。

同心圆模型
同心圆模型的优势在于,在视觉上给予受众一种心理暗示:呈现事件或观点的逻辑结构是完整的,是360度分析。有利于减少受众挑战表达者是否有遗漏的可能性。
四、精彩呈现逻辑结构
在表达中要想精彩地呈现出思想观点和内容要点,还需要思考故事主线和视觉呈现效果上的结构化设计。第一步:基于受众特征,设计出迎合他们的故事主线;第二步:根据表达场景,选择适当的PREP或IREP方式讲述。

1、故事主线设计:迎合受众,获得认可
要设计出“受众有兴趣听”的故事主线,需要考虑以下三点:一是沟通的场合和实际的情境;二是沟通对象的特点、性格及兴趣;三是所表达的内容是否简单易懂。根据不同沟通对象的特点,可以构思出两种不同的讲述顺序。常见的表达方式有两种:PREP方式和IREP方式。

根据故事主线确定幻灯片演示顺序
PREP方式
PREP方式是论点先行的表达方式,适用于受众对汇报内容的背景和流程具有一定了解的情境,比如公司内部例会或向上级汇报常规工作的场景。运用PREP方式进行汇报,即以论点抓住受众的注意力,可以让受众在第一时间接收核心观点或最终结论,避免对方出现不耐烦的状况,从而使受众耐心地听完我们的表达汇报。

PREP表达方式
IREP方式
IREP方式是主题先行的表达方式,适用于受众对于议题比较陌生或不了解情况的情境,如公司的外部会议或是新流程、新产品的推介会等沟通场景。主题先行的汇报方式可以避免因直接亮出观点而显得过于唐突,在对受众进行一番信息铺垫、心理建设和逻辑牵引之后,再水到渠成地将受众引导至核心观点,更有利于受众对于信息的接受和理解。

IREP表达方式
我们要根据表达时的具体情境,选择使用PREP方式或IREP方式来讲述

PREP与IREP两种表达方式的对比
当我们基于受众特征,设计出迎合受众的故事主线,再根据表达场景,选择适当的PREP/IREP的表达方式,继而呈现出所表达的内容后,相信一定会引导受众跟随我们的逻辑表达,取得受众认可和最佳的沟通表达效果。
2、PPT结构化设计:优化视觉呈现效果
想要呈现出简洁的PPT:
第一步:让PPT主体的纵轴和横轴具有某些意义,在视觉效果上呈现出结构化的特征;

PPT呈现出结构化特征
第二步:具体PPT结构化设计,可参考以下6种结构化的PPT页面设计模板。

结构化的设计模板
层化模型
当金字塔结构中各层级的内容素材之间有逐步提升的趋势,或者是下一层级会导出上一层级的逻辑,就可以选用层化模型来呈现。

利用层化模型论证最佳方案
二维图表
二维图表比较适合数据的对比呈现。

利用二维图表呈现数据
对比结构
比较适合文字或图像的对比呈现

利用对比结构进行数据对比
计划流程
适合呈现计划步骤或流程图。

利用计划流程呈现步骤
日程表
一般用于项目的进度汇报呈现。
图片
利用日程表呈现项目进度
饼图/同心圆
饼图适合呈现每个选项占总量的比例。饼图既可以用于多项产品之间的比较,又可以用于衡量单项产品的细化指标。

利用饼图比较产品的市场占有率
如果希望呈现思考周密完整的效果,可以采用同心圆模型,通过360度合拢的结构,在视觉上给受众一种逻辑结构是完整的心理暗示 |