|
FM和FFM模型是最近几年提出的模型,凭借其在数据量比较大并且特征稀疏的情况下,仍然能够得到优秀的性能和效果的特性,屡次在各大公司举办的CTR预估比赛中获得不错的战绩。美团点评技术团队在搭建DSP的过程中,探索并使用了FM和FFM模型进行CTR和CVR预估,并且取得了不错的效果。本文旨在把我们对FM和FFM原理的探索和应用的经验介绍给有兴趣的读者。
前言
在计算广告领域,点击率CTR(click-through rate)和转化率CVR(conversion rate)是衡量广告流量的两个关键指标。准确的估计CTR、CVR对于提高流量的价值,增加广告收入有重要的指导作用。预估CTR/CVR,业界常用的方法有人工特征工程 + LR(Logistic Regression)、GBDT(Gradient Boosting Decision Tree) + LR[1][2][3]、FM(Factorization Machine)[2][7]和FFM(Field-aware Factorization Machine)[9]模型。在这些模型中,FM和FFM近年来表现突出,分别在由Criteo和Avazu举办的CTR预测竞赛中夺得冠军[4][5]。
考虑到FFM模型在CTR预估比赛中的不俗战绩,美团点评技术团队在搭建DSP(Demand Side Platform)[6]平台时,在站内CTR/CVR的预估上使用了该模型,取得了不错的效果。本文是基于对FFM模型的深度调研和使用经验,从原理、实现和应用几个方面对FFM进行探讨,希望能够从原理上解释FFM模型在点击率预估上取得优秀效果的原因。因为FFM是在FM的基础上改进得来的,所以我们首先引入FM模型,本文章节组织方式如下:
- 首先介绍FM的原理。
- 其次介绍FFM对FM的改进。
- 然后介绍FFM的实现细节。
- 最后介绍模型在DSP场景的应用。
FM原理
FM(Factorization Machine)是由Konstanz大学Steffen Rendle(现任职于Google)于2010年最早提出的,旨在解决稀疏数据下的特征组合问题[7]。下面以一个示例引入FM模型。假设一个广告分类的问题,根据用户和广告位相关的特征,预测用户是否点击了广告。源数据如下[8]
| Clicked |
Country |
Day |
Ad_type |
| 1 |
USA |
26/11/15 |
Movie |
| 0 |
China |
1/7/14 |
Game |
| 1 |
China |
19/2/15 |
Game |
“Clicked”是label,Country、Day、Ad_type是特征。由于三种特征都是categorical类型的,需要经过独热编码(One-Hot Encoding)转换成数值型特征。
| Clicked |
Country=USA |
Country=China |
Day=26/11/15 |
Day=1/7/14 |
Day=19/2/15 |
Ad_type=Movie |
Ad_type=Game |
| 1 |
1 |
0 |
1 |
0 |
0 |
1 |
0 |
| 0 |
0 |
1 |
0 |
1 |
0 |
0 |
1 |
| 1 |
0 |
1 |
0 |
0 |
1 |
0 |
1 |
由上表可以看出,经过One-Hot编码之后,大部分样本数据特征是比较稀疏的。上面的样例中,每个样本有7维特征,但平均仅有3维特征具有非零值。实际上,这种情况并不是此例独有的,在真实应用场景中这种情况普遍存在。例如,CTR/CVR预测时,用户的性别、职业、教育水平、品类偏好,商品的品类等,经过One-Hot编码转换后都会导致样本数据的稀疏性。特别是商品品类这种类型的特征,如商品的末级品类约有550个,采用One-Hot编码生成550个数值特征,但每个样本的这550个特征,有且仅有一个是有效的(非零)。由此可见,数据稀疏性是实际问题中不可避免的挑战。
One-Hot编码的另一个特点就是导致特征空间大。例如,商品品类有550维特征,一个categorical特征转换为550维数值特征,特征空间剧增。
同时通过观察大量的样本数据可以发现,某些特征经过关联之后,与label之间的相关性就会提高。例如,“USA”与“Thanksgiving”、“China”与“Chinese New Year”这样的关联特征,对用户的点击有着正向的影响。换句话说,来自“China”的用户很可能会在“Chinese New Year”有大量的浏览、购买行为,而在“Thanksgiving”却不会有特别的消费行为。这种关联特征与label的正向相关性在实际问题中是普遍存在的,如“化妆品”类商品与“女”性,“球类运动配件”的商品与“男”性,“电影票”的商品与“电影”品类偏好等。因此,引入两个特征的组合是非常有意义的。
多项式模型是包含特征组合的最直观的模型。在多项式模型中,特征 xi 和 xj 的组合采用 xixj 表示,即 xi 和 xj 都非零时,组合特征 xixj 才有意义。从对比的角度,本文只讨论二阶多项式模型。模型的表达式如下:

(1)
其中,n 代表样本的特征数量,xi 是第 i 个特征的值,w0、wi、wij 是模型参数。
从公式(1)可以看出,组合特征的参数一共有 n(n1)/2 个,任意两个参数都是独立的。然而,在数据稀疏性普遍存在的实际应用场景中,二次项参数的训练是很困难的。其原因是,每个参数 wij 的训练需要大量 xi 和 xj 都非零的样本;由于样本数据本来就比较稀疏,满足“xi 和 xj 都非零”的样本将会非常少。训练样本的不足,很容易导致参数 wij 不准确,最终将严重影响模型的性能。
那么,如何解决二次项参数的训练问题呢?矩阵分解提供了一种解决思路。在model-based的协同过滤中,一个rating矩阵可以分解为user矩阵和item矩阵,每个user和item都可以采用一个隐向量表示[8]。比如在下图中的例子中,我们把每个user表示成一个二维向量,同时把每个item表示成一个二维向量,两个向量的点积就是矩阵中user对item的打分。

类似地,所有二次项参数 wij 可以组成一个对称阵 W(为了方便说明FM的由来,对角元素可以设置为正实数),那么这个矩阵就可以分解为 W=VTV,V 的第 j 列便是第 j 维特征的隐向量。换句话说,每个参数 wij=vi,vj,这就是FM模型的核心思想。因此,FM的模型方程为(本文不讨论FM的高阶形式):
 (2)
其中,vi 是第 i 维特征的隐向量,, 代表向量点积。隐向量的长度为 k(k远远小于n),包含 k 个描述特征的因子。根据公式(2),二次项的参数数量减少为 kn个,远少于多项式模型的参数数量。另外,参数因子化使得 xhxi 的参数和 xixj 的参数不再是相互独立的,因此我们可以在样本稀疏的情况下相对合理地估计FM的二次项参数。具体来说,xhxi 和 xixj 的系数分别为 vh,vi 和 vi,vj,它们之间有共同项 vi。也就是说,所有包含“xi 的非零组合特征”(存在某个 j≠i,使得 xixj≠0)的样本都可以用来学习隐向量 vi,这很大程度上避免了数据稀疏性造成的影响。而在多项式模型中,whi 和 wij 是相互独立的。
显而易见,公式(2)是一个通用的拟合方程,可以采用不同的损失函数用于解决回归、二元分类等问题,比如可以采用MSE(Mean Square Error)损失函数来求解回归问题,也可以采用Hinge/Cross-Entropy损失来求解分类问题。当然,在进行二元分类时,FM的输出需要经过sigmoid变换,这与Logistic回归是一样的。直观上看,FM的复杂度是 O(kn2)。但是,通过公式(3)的等式,FM的二次项可以化简,其复杂度可以优化到 O(kn)[7]。由此可见,FM可以在线性时间对新样本作出预测。
 (3)
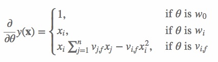
我们再来看一下FM的训练复杂度,利用SGD(Stochastic Gradient Descent)训练模型。模型各个参数的梯度如下:


FM与其他模型的对比
FM是一种比较灵活的模型,通过合适的特征变换方式,FM可以模拟二阶多项式核的SVM模型、MF模型、SVD++模型等[7]。
相比SVM的二阶多项式核而言,FM在样本稀疏的情况下是有优势的;而且,FM的训练/预测复杂度是线性的,而二项多项式核SVM需要计算核矩阵,核矩阵复杂度就是N平方。
相比MF而言,我们把MF中每一项的rating分改写为:

从公式(2)中可以看出,这相当于只有两类特征 u 和 i 的FM模型。对于FM而言,我们可以加任意多的特征,比如user的历史购买平均值,item的历史购买平均值等,但是MF只能局限在两类特征。SVD++与MF类似,在特征的扩展性上都不如FM,在此不再赘述。
FFM原理
FFM(Field-aware Factorization Machine)最初的概念来自Yu-Chin Juan(阮毓钦,毕业于中国台湾大学,现在美国Criteo工作)与其比赛队员,是他们借鉴了来自Michael Jahrer的论文[14]中的field概念提出了FM的升级版模型。通过引入field的概念,FFM把相同性质的特征归于同一个field。以上面的广告分类为例,“Day=26/11/15”、“Day=1/7/14”、“Day=19/2/15”这三个特征都是代表日期的,可以放到同一个field中。同理,商品的末级品类编码生成了550个特征,这550个特征都是说明商品所属的品类,因此它们也可以放到同一个field中。简单来说,同一个categorical特征经过One-Hot编码生成的数值特征都可以放到同一个field,包括用户性别、职业、品类偏好等。在FFM中,每一维特征 xi,针对其它特征的每一种field fj,都会学习一个隐向量 vi,fj。因此,隐向量不仅与特征相关,也与field相关。也就是说,“Day=26/11/15”这个特征与“Country”特征和“Ad_type”特征进行关联的时候使用不同的隐向量,这与“Country”和“Ad_type”的内在差异相符,也是FFM中“field-aware”的由来。
假设样本的 n 个特征属于 f 个field,那么FFM的二次项有 nf个隐向量。而在FM模型中,每一维特征的隐向量只有一个。FM可以看作FFM的特例,是把所有特征都归属到一个field时的FFM模型。根据FFM的field敏感特性,可以导出其模型方程。

(4)
其中,fj 是第 j 个特征所属的field。如果隐向量的长度为 k,那么FFM的二次参数有 nfk 个,远多于FM模型的 nk 个。此外,由于隐向量与field相关,FFM二次项并不能够化简,其预测复杂度是 O(kn2)。
下面以一个例子简单说明FFM的特征组合方式[9]。输入记录如下:
| User |
Movie |
Genre |
Price |
| YuChin |
3Idiots |
Comedy, Drama |
$9.99 |
这条记录可以编码成5个特征,其中“Genre=Comedy”和“Genre=Drama”属于同一个field,“Price”是数值型,不用One-Hot编码转换。为了方便说明FFM的样本格式,我们将所有的特征和对应的field映射成整数编号。
| Field name |
Field index |
Feature name |
Feature index |
| User |
1 |
User=YuChin |
1 |
| Movie |
2 |
Movie=3Idiots |
2 |
| Genre |
3 |
Genre=Comedy |
3 |
| Price |
4 |
Genre=Drama |
4 |
| Price |
5 |
|
|
那么,FFM的组合特征有10项,如下图所示。

其中,红色是field编号,蓝色是特征编号,绿色是此样本的特征取值。二次项的系数是通过与特征field相关的隐向量点积得到的,二次项共有 n(n1)/2 个。
FFM实现
Yu-Chin Juan实现了一个C++版的FFM模型,源码可从Github下载[10]。这个版本的FFM省略了常数项和一次项,模型方程如下:

(5)
其中,C2 是非零特征的二元组合,j1 是特征,属于field f1,wj1,f2 是特征 j1 对field f2 的隐向量。此FFM模型采用logistic loss作为损失函数,和L2惩罚项,因此只能用于二元分类问题。

其中,yi∈{1,1} 是第 i 个样本的label,L 是训练样本数量,λ 是惩罚项系数。模型采用SGD优化,优化流程如下:

参考 Algorithm1, 下面简单解释一下FFM的SGD优化过程。
算法的输入 tr、va、pa 分别是训练样本集、验证样本集和训练参数设置。
- 根据样本特征数量(tr.n)、field的个数(tr.m)和训练参数(pa),生成初始化模型,即随机生成模型的参数;
- 如果归一化参数 pa.norm 为真,计算训练和验证样本的归一化系数,样本 i 的归一化系数为 R[i]=1/∥X[i]∥ ;
- 对每一轮迭代,如果随机更新参数 pa.rand 为真,随机打乱训练样本的顺序;
- 对每一个训练样本,执行如下操作:
- 计算每一个样本的FFM项,即公式(5)中的输出 ;
- 计算每一个样本的训练误差,如算法所示,这里采用的是交叉熵损失函数 log(1+e);
- 利用单个样本的损失函数计算梯度 gΦ,再根据梯度更新模型参数;
对每一个验证样本,计算样本的FFM输出,计算验证误差;
- 重复步骤3~5,直到迭代结束或验证误差达到最小。
在SGD寻优时,代码采用了一些小技巧,对于提升计算效率是非常有效的。
第一,梯度分步计算。采用SGD训练FFM模型时,只采用单个样本的损失函数来计算模型参数的梯度。

上面的公式表明,Lerr/ 与具体的模型参数无关。因此,每次更新模型时,只需计算一次,之后直接调用 Lerr/ 的值即可。对于更新 nfk 个模型参数,这种方式能够极大提升运算效率。
第二,自适应学习率。此版本的FFM实现没有采用常用的指数递减的学习率更新策略,而是利用 nfk 个浮点数的临时空间,自适应地更新学习率。学习率是参考AdaGrad算法计算的[11],按如下方式更新


第三,OpenMP多核并行计算。OpenMP是用于共享内存并行系统的多处理器程序设计的编译方案,便于移植和多核扩展[12]。FFM的源码采用了OpenMP的API,对参数训练过程SGD进行了多线程扩展,支持多线程编译。因此,OpenMP技术极大地提高了FFM的训练效率和多核CPU的利用率。在训练模型时,输入的训练参数ns_threads指定了线程数量,一般设定为CPU的核心数,便于完全利用CPU资源。
第四,SSE3指令并行编程。SSE3全称为数据流单指令多数据扩展指令集3,是CPU对数据层并行的关键指令,主要用于多媒体和游戏的应用程序中[13]。SSE3指令采用128位的寄存器,同时操作4个单精度浮点数或整数。SSE3指令的功能非常类似于向量运算。例如,a 和 b 采用SSE3指令相加(a 和 b 分别包含4个数据),其功能是 a 中的4个元素与 b 中4个元素对应相加,得到4个相加后的值。采用SSE3指令后,向量运算的速度更加快捷,这对包含大量向量运算的FFM模型是非常有利的。
除了上面的技巧之外,FFM的实现中还有很多调优技巧需要探索。例如,代码是按field和特征的编号申请参数空间的,如果选取了非连续或过大的编号,就会造成大量的内存浪费;在每个样本中加入值为1的新特征,相当于引入了因子化的一次项,避免了缺少一次项带来的模型偏差等。
FFM应用
在DSP的场景中,FFM主要用来预估站内的CTR和CVR,即一个用户对一个商品的潜在点击率和点击后的转化率。
CTR和CVR预估模型都是在线下训练,然后用于线上预测。两个模型采用的特征大同小异,主要有三类:用户相关的特征、商品相关的特征、以及用户-商品匹配特征。用户相关的特征包括年龄、性别、职业、兴趣、品类偏好、浏览/购买品类等基本信息,以及用户近期点击量、购买量、消费额等统计信息。商品相关的特征包括所属品类、销量、价格、评分、历史CTR/CVR等信息。用户-商品匹配特征主要有浏览/购买品类匹配、浏览/购买商家匹配、兴趣偏好匹配等几个维度。
为了使用FFM方法,所有的特征必须转换成“field_id:feat_id:value”格式,field_id代表特征所属field的编号,feat_id是特征编号,value是特征的值。数值型的特征比较容易处理,只需分配单独的field编号,如用户评论得分、商品的历史CTR/CVR等。categorical特征需要经过One-Hot编码成数值型,编码产生的所有特征同属于一个field,而特征的值只能是0或1,如用户的性别、年龄段,商品的品类id等。除此之外,还有第三类特征,如用户浏览/购买品类,有多个品类id且用一个数值衡量用户浏览或购买每个品类商品的数量。这类特征按照categorical特征处理,不同的只是特征的值不是0或1,而是代表用户浏览或购买数量的数值。按前述方法得到field_id之后,再对转换后特征顺序编号,得到feat_id,特征的值也可以按照之前的方法获得。
CTR、CVR预估样本的类别是按不同方式获取的。CTR预估的正样本是站内点击的用户-商品记录,负样本是展现但未点击的记录;CVR预估的正样本是站内支付(发生转化)的用户-商品记录,负样本是点击但未支付的记录。构建出样本数据后,采用FFM训练预估模型,并测试模型的性能。
|
#(field) |
(feature) |
AUC |
Logloss |
| 站内CTR |
39 |
2456 |
0.77 |
0.38 |
| 站内CVR |
67 |
2441 |
0.92 |
0.13 |
由于模型是按天训练的,每天的性能指标可能会有些波动,但变化幅度不是很大。这个表的结果说明,站内CTR/CVR预估模型是非常有效的。
在训练FFM的过程中,有许多小细节值得特别关注。
第一,样本归一化。FFM默认是进行样本数据的归一化,即 pa.norm 为真;若此参数设置为假,很容易造成数据inf溢出,进而引起梯度计算的nan错误。因此,样本层面的数据是推荐进行归一化的。
第二,特征归一化。CTR/CVR模型采用了多种类型的源特征,包括数值型和categorical类型等。但是,categorical类编码后的特征取值只有0或1,较大的数值型特征会造成样本归一化后categorical类生成特征的值非常小,没有区分性。例如,一条用户-商品记录,用户为“男”性,商品的销量是5000个(假设其它特征的值为零),那么归一化后特征“sex=male”(性别为男)的值略小于0.0002,而“volume”(销量)的值近似为1。特征“sex=male”在这个样本中的作用几乎可以忽略不计,这是相当不合理的。因此,将源数值型特征的值归一化到 [0,1] 是非常必要的。
第三,省略零值特征。从FFM模型的表达式(4)可以看出,零值特征对模型完全没有贡献。包含零值特征的一次项和组合项均为零,对于训练模型参数或者目标值预估是没有作用的。因此,可以省去零值特征,提高FFM模型训练和预测的速度,这也是稀疏样本采用FFM的显著优势。
后记
本文主要介绍了FFM的思路来源和理论原理,并结合源码说明FFM的实际应用和一些小细节。从理论上分析,FFM的参数因子化方式具有一些显著的优势,特别适合处理样本稀疏性问题,且确保了较好的性能;从应用结果来看,站内CTR/CVR预估采用FFM是非常合理的,各项指标都说明了FFM在点击率预估方面的卓越表现。当然,FFM不一定适用于所有场景且具有超越其他模型的性能,合适的应用场景才能成就FFM的“威名”。
|