您可以捐助,支持我们的公益事业。

1元 10元 50元





认证码:  验证码,看不清楚?请点击刷新验证码 必填



文章 咨询 工具 课程  
会员   
   
嵌入式软件测试方法&实践
3月20日 线上
需求分析与管理
4月21-22日 北京+线上
SysML和EA进行系统设计建模
4月23-24日 北京+线上
     
   
 订阅
基于DIL的转向系统SOTIF场景开发分析
 
作者:陆俊文
  603   次浏览      9
 2025-12-3
 
编辑推荐:
本文采用场景域分析方法,结合DIL半实物仿真技术,通过改变场景特征值,系统地评估并优化助力或全动力转向系统的功能和性能,旨在提升转向系统的可靠性和可控性,希望对你的学习有帮助。
本文来自于智能汽车设计,由火龙果软件Alice编辑,推荐。

为了提高智能网联汽车横向主动安全,将转向系统(EPS)的非预期功能安全场景识别和定义融入系统设计与开发环节。结合场景域分析、等价类和边界值技术,通过解构EPS相关车辆模型变体和横向运动场景,从EPS已知的运行场景中拓展出更多可能存在风险的工作场景。同时,利用基于半实物仿真的驾驶员在环系统(DIL),凭借其“人-车-环境”闭环的优势,使得更多未知风险场景转变为有效的已知场景,进而优化现有安全技术要求,进一步提高EPS的系统表现。

0 引言

汽车电动助力转向系统(Electric Power Steering,EPS)对汽车的操控稳定性和舒适性有至关重要的影响。随着汽车技术的不断发展,电子控制系统在EPS中的应用日益广泛,使EPS对算法的依赖性和复杂性也在不断增加。在此背景下,功能安全(Functional Safety)和预期功能安全(Safety of the Intended Functionality,SOTIF)已成为EPS系统开发过程中不可忽视的重要课题。因此,深入研究EPS系统的功能安全与预期功能安全,对于提升汽车的整体安全性和可靠性具有极为重要的意义。功能安全主要针对已知电控系统故障可能引发的危害行为所导致的安全事故,旨在通过有效的安全设计和故障诊断机制,降低此类事故的发生概率。而预期功能安全则侧重于解决自动驾驶系统功能不足所引发的车辆危害行为,进而预防由此导致的安全事故。通过对这两个方面的研究,能够确保EPS系统在各种复杂工况下都能稳定、可靠地运行,从而为驾驶者提供更安全、更舒适的驾驶体验,同时也有助于推动汽车行业的技术进步和可持续发展。

刘逸恒 [1] 和白先旭 [2] 等通过系统理论过程分析(System-Theoretic Process Analysis, STPA)方法对制动系统(Advanced Emergency Braking, AEB)进行了风险评估和失效场景建模,提出了分析未知不安全场景并开展决策验证需要依托海量的实车路试数据。然而,实车路试面临周期长、成本高、场地单一且有局限性、人身安全等风险,严重制约了快速研发和产品升级迭代的进程。为了解决以上问题,借助数字虚拟仿真技术来生成丰富的虚拟仿真场景已经成为研究趋势。余卓平等 [3] 研究了虚拟仿真、硬件在环和封闭场地车辆在环技术,加速了自动驾驶汽车测试方面的研究进展。尚世亮等 [4] 基于dSPACE实时在环系统,将SOTIF技术标准集成到现有开发测试体系中,为转向系统的开发提供了新的思路和方法。对于转向系统的开发,驾驶员在环系统(Driver In-the-Loop, DIL)结合了真实的研究对象(即EPS)及虚拟仿真模型,能够直观而高效地实现“人-车-EPS系统-环境”闭环场景。在仿真系统中,利用车辆信息道路等数据,可灵活、高效地重构具有复杂性、危险性、随机性的虚拟仿真场景,覆盖测试成本高、难度大、危险性高甚至无法进行实车测试的场景。目前,在挖掘零部件SOTIF场景、确定系统安全边界及算法可靠性等方面,DIL逐渐成为基于测试开发的主流手段。

为了深入挖掘并且开发转向系统的SOTIF场景,本文采用场景域分析方法,结合DIL半实物仿真技术,通过改变场景特征值,系统地评估并优化助力或全动力转向系统的功能和性能,旨在提升转向系统的可靠性和可控性。

1 驾驶员在环DIL的系统架构

DIL系统是一种半实物仿真系统,它将EPS系统、车辆及其运行环境仿真模型和驾驶员连接在一起,其构成示意如图1所示。DIL系统主要由转向盘输入装置、转向器左右拉杆负载电机、转向节模拟器、EPS硬点调节机构、控制柜及上位机组成 [5] 。转向盘输入切换装置由带有离合器的空心轴电机 [6] 组成,可以提供角度或扭矩输入2种输入模式:自动转向和驾驶人控制。在转向盘输入装置装有角度传感器和扭矩传感器,用于采集输入装置的输出角度和力矩,并将这些数据实时提供给系统进行处理和分析。转向器左右拉杆负载电机配合转向节模拟器协同工作,能够在转向器左右横拉杆端动态施加齿条力或位移载荷。同时,在横拉杆安装了力传感器及位移传感器,实时采集左右两边拉杆力和拉杆位移,从而为系统的精确仿真和测试提供有力支持。

图片

图1 驾驶员在环实时系统机电耦合集成示意

2 EPS系统SOTIF场景分析理论

2.1 场景及场景域的定义

在产品功能设计、研发测试和风险评价阶段,场景的分析、创建、仿真和实现都发挥了关键性作用。

预期功能安全场景(SOTIF Scenarios) [7] 是指那些能够引发SOTIF风险,并且在实施不恰当控制的情况下可能会引发危害的场景。对于EPS系统而言,需要从零部件的视角分析其预期功能安全场景,并且保持或最大化已知场景,同时最小化未知场景。

任意的随机组合往往会导致场景参数空间出现爆炸式增长,使分析效率非常低下。因此,如何挖掘有效场景成为了研究热点。为了避免无意义且无序的场景组合,结合基础场景、标准场景和经验数据库,对EPS系统进行场景解构,从而提炼出场景关键元素及其关联关系,并构建一个多源异构体来实现对场景的精确描述。场景的生成方法主要分为2种:场景机理建模和数据驱动 [8] 。场景机理建模通过数学理论和模型来描述物理机理过程,是实现仿真的基础。综上,本文基于场景机理建模方法进行场景组合的创建。

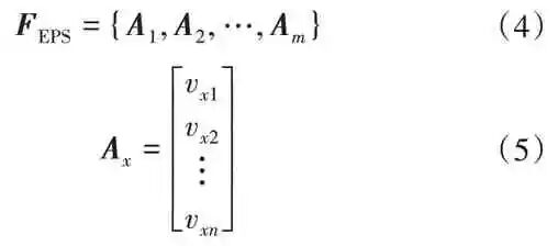
其中,根据场景快照 SS i 、场景 S i 、用例 U x 和优先度子集的定义,本文进一步提出了场景域 F EPS ,其覆盖一组来自于相同对象 O i 且相互独立的场景:

图片

把场景域解构至特征值,基于式(3),场景域又可由若干特征 A x 进行描述,即每个对象 O i 的表现或特性的事项,而每个特征都由若干特征值 v mn 组成,如:

图片

由此可导出 F EPS 为一个 n × m 的矩阵:

图片

式(6)中场景域 F EPS 可展开为由 m 个特征组成的特征集,而每个特征由 n 个特征值组成,如果没有特征值可以由0代替。

数据表明大多数失效是由单因素故障或两个因素的联合组成效应引起的,那么根据双项拓展思想,定义特殊函数 f ( F EPS ),如式(7)所示,函数使场景域的特征两两融合且去掉重复的元素,又定义特殊运算符号@使特征值又两两成组为单个独立场景,如式(8)所示。

图片

2.2 基于DIL的SOTIF场景分析方法论

潜在功能不足和触发条件 [9] 的分析主要从2方面展开:一方面,基于已知的潜在规范定义不足和性能局限,确定导致已识别出的危害行为的场景;另一方面,基于已识别出的环境条件和可合理预见误用,确定潜在的规范定义不足和性能局限。

鉴于DIL的虚拟仿真技术在场景构建方面的优势,转向系统的SOTIF场景分析方法可以重组为4个方法组,如图2和表1所示。

表1 EPS系统潜在功能不足和触发条件分析方法组

图片
图片

图2 驾驶员在环在EPS系统SOTIF场景的应用示意

方法组3的输出产物结合DIL的虚拟仿真技术,能够模拟道路、环境及其他车辆相关系统,进而实现道路环境和整车条件场景域覆盖。在方法组1的支持下,借助方法组2可以获得EPS电控子系统的性能局限,并利用DIL的故障注入模块,在特定工况和触发时间点注入故障,能够覆盖EPS自身潜在功能不足。此外,方法组4可以通过DIL的人/机驾驶舱实现约定或探索更多操控序列,以覆盖驾驶操控场景域。

2.3 EPS系统场景域的描述

EPS系统场景域涵盖4个主要对象:道路环境、整车条件、驾驶操控和EPS系统本体。每个对象又可以划分若干个特征以及对应的特征值,如表2所示。

表2 EPS系统的非穷举场景域

图片

注:“间接模拟”是通过其他机构等效作用模拟实车运行场景,例如通过电机模拟驾驶员输入、传感器仿真等。

2.4 EPS系统场景域的覆盖

为拓展EPS已识别的环境条件及可预见误用场景,并覆盖未知安全或不安全场景,本文提出基于场景域SOTIF场景分析方法,其模型如图3所示。

图片

图3 基于场景域SOTIF场景分析方法

在该方法中,所有相关对象的特征值共同构成EPS 系统的完整场景域,涵盖已知与未知场景。在已知场景的基础上,依据场景域中各对象的特征值进行扩展,实现对未知场景的覆盖。借助自动化技术 [10] ,能够快速组合和筛选这些场景,形成场景库,并基于优先级生成用例,在驾驶员在环系统中进行实时运行。通过设定失效判定条件,可训练出之前未知的危害场景,以迭代方式逐步近似覆盖整个场景域。需要注意的是,所有场景均应在车辆的设计运行范围内(即图3虚线框)。

其中,DIL中的“整车条件”对象由动力学仿真模型实现。鉴于难以精确获取实车的外特性曲线,本文采用等价类边界值分析及仿真技术对整车条件的特征值进行扩展,以弥补这一不足。

3 EPS系统场景域的分析

3.1 EPS系统的整车边界条件

EPS系统的边界包括4部分:(1)横拉杆运动: 移动位移、移动速度、移动加速度、横拉杆力;(2)转向盘运动:转向角度、转向角速度、转向角加速度、转向力矩;(3)供电系统;(4)整车通讯系统。其中,横拉杆运动直接受到仿真模型的影响,也是EPS设计运行范围中的重要组成部分。因此,本文以横拉杆运动受到的一对平衡力矩为模型。EPS的力矩平衡 [11] 公式为:

图片

式中: M f 为转向阻力矩, M H 为转向盘力矩, A s 为转向助力系数, i s 为转向系统角传动比。

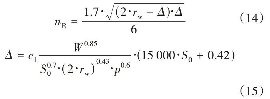
转向阻力矩是结合悬架动态情况,转向轮与地面之间的相互作用产生的等效力矩,它是驾驶员在环系统中负载的输出中EPS的输入。其中,由于EPS以实物存在不考虑转向系统内部的摩擦阻力矩的影响。因此,EPS需要克服的转向阻力矩概括如下 [12] (其中 j =1,对应左轮; j =2,对应右轮):

(1) M 1 j 为轮胎静态转向力矩(滑动摩擦力矩);

(2) M 2 j 为转向轮绕主销垂直方向抬高形成的垂直力绕主销内倾形成的阻力矩;

(3) M 3 j 为车辆受到侧向外力或转弯行驶的离心力等使地面对轮胎在侧向合力产生的作用反力和轮胎拖矩及后倾拖矩之间的乘积而形成的侧向力绕主销后倾形成的阻力矩;

(4) M 4 j 为在路面附着情况下,两侧车轮纵向力差异形成的纵向力绕主销形成的阻力矩,对于前轮转向一般可以忽略不计;

(5) M 5 j 为路面与轮胎之间的摩擦力产生的阻力矩。

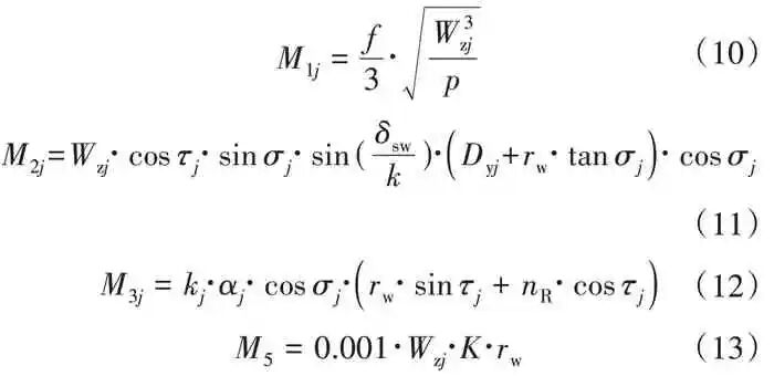
通过力学推导可求得以下经验公式:

图片

式(12)中轮胎拖矩公式为:

图片

以前转向为例,在EPS不同的工况下,对应的总阻力矩值为:

原地转向工况下EPS横拉杆受到的总阻力矩:

图片

行驶转向工况下EPS横拉杆受到的总阻力矩:

图片

转向保持工况下,EPS横拉杆受到的总阻力矩:

图片

通过式(9)~式(13)可知,整车条件的特征值及可扩展区间值见表3。

表3 EPS系统相关的整车特征值

图片

3.2 EPS系统的道路环境和驾驶操作

针对已知场景 [13] 可归纳的特征和特征值,如表4所示。

表4 非穷举EPS系统已知场景

图片

根据场景在公共道路上的暴露率筛选出S2、S3和S4,和已知场景的特征进行扩展如表5~表8所示。

表5 道路结构的非穷举扩展

图片

表6 环境条件的非穷举扩展

图片

表7 驾驶参与者的非穷举扩展

图片

表8 子系统状态的非穷举扩展

图片

基于对EPS系统运行环境的机理模型可知,车速,转向角度,车辆质心侧向加速度和车辆转向半径之间相互关联,其等效公式如式(19)、式(20)所示 [12~13] ,在分析过程中应遵守运行规律并以单点等价类进行特征值扩展:

图片

式中: u 为瞬时车辆质心的纵向速度(车速), δ sw 为转向盘角度, L 为轴距, k 为转向比, D y 为主销偏移距。

针对场景S2,在正常运行范围内且根据某车型数据所得的场景快照如表9所示。

表9 针对某车型的驾驶操作扩展特征值非穷举示例

图片

3.3 案例分析

某款新转向产品需基于原有的老产品进行迭代更新并且后续应用到L3智能汽车平台中。本案例针对双移线车道这个已知测试场景(图4)来覆盖障碍物避让、紧急避让等实际工况。其中,可以解构出双移线之间过渡段的纵向长度为关键特征。

图片

图4 双移线及其关键特征值

基于场景域SOTIF场景分析方法,针对“道路环境”可获得扩展场景,如表10所示。

表10 基于DIL的双移线扩展场景

图片

驾驶员在环系统实现了3个场景(U1~U3),设置恒定车速80 km/h,人工或者转向模拟器进行转向并且试图通过道路。车辆可以顺利驶入和驶出双移线并且可以保持车辆在车道内,如图5所示;当入弯长度从30 m缩短至10 m,保持相同的车速,车辆驶出车道边界,如图6所示;当车道距离不变,改变车道环境为潮湿路面即附着系数从0.7~0.8降为0.5~0.6,同样车辆也无法正常通过双移线,如图7所示。

图片

图5 U1场景驾驶员在环系统的实时动图快照

图片

图6 U2场景驾驶员在环系统的实时动图快照

图片

图7 U3场景驾驶员在环系统的实时动图快照

对比U1和U2的数据(图8)可知,进入双车道时,U1下转向角速度为1 000 (°)/s,而U2若顺利通过,则转向角速度为1 500 (°)/s。对比EPS电控单元的助力矩与实际转向力矩(图9),EPS电控单元的力矩和转向力矩之间有关键点缺失,并且在0.9 s、1.8 s、3.3 s及4.8 s处有一定的滞后。

图片

图8 U1和U2转向角度与转向角速度对比

图片

图9 U1和U2实际转矩与EPS助力矩对比

在道路形状和转向盘转角一致的情况下,由于道路附着系数减小导致轮胎的侧向力下降,如图10所示。对比U1和U3情况下EPS的电机助力矩,在湿滑路面由于EPS电机助力矩在2.3~3.5 s处轮胎转向角对转向盘转角微小变化较敏感,如图11所示。因此,在功能迭代上需考虑调整新的助力特性;除了力矩限制之外,在安全机制上应添加频率特性限制;增加助力反向补偿功能来确保操纵稳定和较为平顺的手感。

图片

图10 U1和U3滑移率-轮胎侧向力对比

图片

图11 U1和U3 EPS电机助力矩对比

4 结束语

基于场景的分析和测评已经成为自动驾驶汽车及其零部件产品开发的主要手段。本文在场景机理建模基础上,提出了基于场景域的SOTIF场景分析方法,并创建了EPS系统SOTIF场景案例。同时,又自主开发了驾驶员在环系统,利用半实物仿真技术兼并仿真和实车路试的优势,高效而精确地实现闭环驾驶环境,支持SOTIF场景客观分析、扩展和优化。当前的研究边界特征提取仍然不全面,车辆其他关联零部件的仿真模型特征提取仍然在进行中,未来还将会研究耦合性更复杂的驾驶工况,扩展出更多的EPS系统SOTIF场景。

 

   
603 次浏览       9
相关文章

中央计算的软件定义汽车架构设计
汽车电子控制系统中的软件开发过程
一文读懂汽车芯片-有线通信芯片
OTA在汽车上有哪些难点痛点?
相关文档

汽车设计-汽车的整体结构及动力系统
自动驾驶汽车软件计算框架
SysML在汽车领域的应用实践
电子电气架构-大陆汽车系统架构平台
相关课程

AutoSAR原理与实践
功能安全管理体系(基于ISO26262)
MBSE(基于模型的系统工程)
基于SOA的汽车电子架构设计与开发

最新活动计划
嵌入式软件测试方法&实践 3-20[在线]
MBSE理论方法到工作实践 3-28[北京]
需求分析与管理 4-21[在线]
基于LLM的Agent应用开发 4-18[北京]
SysML和EA系统设计建模 4-23[北京]
基于本体的体系架构设计 4-24[北京]
认证课:OCSMP-MU 周末班[在线]
 
 
最新文章
ASPICE中配置管理是个什么东西?
了解软件安全分析与组件鉴定
掌握Autosar ComStack的精髓!
基于整车功能的正向诊断需求开发
搞定Autosar SWC开发秘籍,码住!
汽车OTA更新的系统性威胁评估
最新课程
基于SOA的汽车电子架构设计与开发
Auto SAR原理与实践
AUTOSAR架构与实践(从CP到 AP )
AUTOSAR架构建模方法与工具(EA)
ASPICE4.0核心开发过程指南
MBSE(基于模型的系统工程)
更多...   
成功案例
某知名车企 AUTOSAR应用设计与开发
吉利汽车 MBSE工程体系汽车建模及评估
某整车企业 《功能需求分析与设计》
富奥汽车零部件 建模工具EA
零跑汽车 建模工具EA及服务
北汽福田 建模工具EA
小鹏汽车 建模工具EA
更多...