您可以捐助,支持我们的公益事业。

1元 10元 50元





认证码:  验证码,看不清楚?请点击刷新验证码 必填



  求知 文章 文库 Lib 视频 iPerson 课程 认证 咨询 工具 讲座 Model Center 汽车系统工程   模型库  
会员   
   
OCSMP认证课程:OCSMP-MU
4月9-10日 线上
基于模型的数据治理与数据中台
5月19-20日 北京+线上
网络安全原理与实践
5月21-22日 北京+线上
     
   
 订阅
基于DoDAF的舰船实战化需求建模与分析方法
 
作者:陈成 张祥瑞 杨中源 周华伟 何秦 韩灿
  164   次浏览      3 次
 2026-3-19
 
编辑推荐:
本文主要介绍了基于DoDAF的舰船实战化需求建模与分析方法相关内容。希望对你的学习有帮助。
本文来自于中国航天期刊 ,由火龙果软件Alice编辑、推荐。

摘要

舰船装备正向设计需求分析存在系统性、完备性、合理性不足,与实战化需求匹配度不高等问题。根据基于模型的系统工程思想建立基于国防部体系结构框架(Department of Defense Architecture Framework,DoDAF)的舰船实战化需求建模与分析方法。首先,定义舰船实战化需求的概念内涵,围绕舰船实战化需求分析目的,对DoDAF进行适应性剪裁,建立面向舰船实战化需求分析的DoDAF建模方法。然后,构建可拓展的舰船设计领域本体模型,建立以活动为中心的舰船实战化需求映射分解和结构化提取方法。示例分析表明,所提方法补充完善了实际作战场景下的舰船实战化需求,有利于提高舰船设计要求与舰船实战化需求的匹配度。所提方法可为舰船装备正向设计需求分析提供方法论指导,对于从需求设计源头提升舰船装备正向设计水平具有重要意义。

0. 引 言

舰船装备正向设计是以系统工程理论方法和过程模型为指导,面向新型装备研制、现役装备加改装等业务场景的先进设计范式,涉及概念设计、方案设计、技术设计等阶段的需求、设计、分析、验证及确认活动,其中需求是各设计阶段、各设计任务的关键导向和核心目标,通常以作战需求、系统需求等不同形式贯穿于舰船设计的全过程[1−2]。因此,建立完备合理的需求基线和敏捷高效的迭代机制,对于提高舰船设计质量具有重要意义。

传统舰船设计模式对需求分析的重视度不足,研究人员主要针对特定条件下的舰船装备使用需求开展建模分析,缺少面向实际作战场景的需求分析过程,存在需求捕获不完备、分解不合理、验证不充分、关系难追溯等问题,造成舰船设计要求与实战化需求不匹配,导致理想条件下的最优方案在实战条件下的作战效能不佳,严重影响了对交付装备的满意度[3−4]。随着舰船装备系统规模及复杂度的急剧增长,上述问题愈发突出,此时单纯依靠专家经验和母型船数据的“拍脑袋”式需求分析方法难以适用于复杂舰船装备研制任务。

基于模型的系统工程(model-based systems engineering,MBSE)是以模型为信息载体,以虚拟仿真为验证手段的先进理念和思想,通过形式化建模及模型演进支持系统研发活动,为推进复杂装备正向设计和数字化研发转型提供了重要动能[5]。MBSE是应对复杂性的有效手段,在复杂系统设计任务中具有广泛应用。在航天工程领域,焦洪臣等[6]提出MBSE的航天器研制流程和模型体系,验证了MBSE在航天器设计及集成仿真验证方面的优势。黄冉等[7]开展基于国防部体系结构框架(Department of Defense Architecture Framework,DoDAF)的MBSE应用研究,提出载人登月工程体系框架总体设计流程和方法,为载人登月系统设计和MBSE方法应用提供了重要参考。在航空工程领域,张绍杰等[8]开展MBSE的飞机刹车系统需求分析、功能分析和设计综合研究,并对系统架构模型进行了联合仿真验证。梅芊等[9]建立以需求为导向的MBSE的民机功能架构结构化正向设计方法,保证了需求分析和功能架构设计的紧密结合。毛志威等[10]基于适航符合性证据链提出民机审定试飞场景设计的MBSE方法及流程。王雨农等[11−12]针对民机研制任务提出基于DoDAF的MBSE建模架构及流程,该方法能够较好地契合民机复杂系统的研制需求。在车辆工程领域,张世聪等[13]提出动车组设计中需求分析、功能分解、架构生成的MBSE方法。陈娟等[14]将MBSE应用于车辆综合传动装置需求分析中,提出一种分研制阶段和结构层级的需求分析方法。该方法基于整车运行场景,在不同研制阶段分解捕获不同层级的需求作为设计和验证的依据,并定义各层需求间的追溯关系,从而发掘需求指标间的交联影响和协同设计关系。在核电工程领域,朱俊志等[15]将MBSE方法应用于核电安全注入系统架构设计中,并讨论了MBSE在需求完整性、一致性、可追溯性、早期可验证性等方面的优势。

从MBSE方法论看,除Harmony 系统工程[16−17]、MagicGrid[18−19]、Arcadia[20−21]、对象过程法(object-process methodology,OPM)[22−23]等主流方法论外,研究者还面向各自领域特点提出了基于DoDAF的MBSE方法论[7,11−12,24−25]。DoDAF[26]是目前发展最为成熟、全球领先的体系结构框架之一,具有强大的复杂系统建模分析能力,在模型数据一致性、可视化、可追溯性等方面表现出色,被广泛应用于体系结构设计[27−28]、体系能力分析[29]、体系互操作性分析[30]等任务。从DoDAF方法论看,一方面,DoDAF既没有限制模型的实现形式,也没有规定最小模型集,因此DoDAF建模具有较强的灵活性,为DoDAF的定制化应用创造了条件;另一方面,DoDAF只给出了模型开发的基本原则和通用方法,并未给出指导性的建模方法论,尤其是具体可实施的面向复杂装备实战化需求分析的DoDAF方法论,因此还需要有针对性地开展相关研究。

为此,本文围绕舰船实战化需求分析目的,结合舰船设计领域特点,对DoDAF进行适应性剪裁,建立基于DoDAF的舰船实战化需求建模与分析的MBSE方法,丰富了面向实际作战场景的舰船使用需求,可提高舰船设计要求与实战化需求的匹配度,对于从需求源头提升舰船装备的正向设计水平具有极其重要的理论和实际意义。

1. 舰船实战化需求的概念内涵

本文所述舰船实战化需求是指实际作战场景下舰载装备、系统、人员以及上下文环境对舰船装备提出的作战需求及系统需求。

1.1 舰船实战化使用需求

作战需求是指在一定的时期,为完成可能担负的作战任务,对武装力量建设的基本要求,涵盖了武器装备、作战理论、编制体制、作战训练等各方面的要求。本文所述作战需求特指对舰船装备的使用需求,本质上是对舰船执行作战任务的预期效果的要求,因此可通过作战场景分析来牵引使用需求分析。

所谓实战化使用需求是作战任务要素在实际作战场景下的实例化结果。因此,本文将舰船实战化使用需求定义为全任务、全流程、全活动、实战主体、实战资源、实战作业条件、实战作业规则下对任务执行预期效果的要求。

1.2 舰船实战化系统需求

系统需求是对舰船使用需求的部分承接,其主体是舰体平台、舰载系统及装备。舰船使用需求中与舰体平台、舰载系统及装备相关的部分被转化分解成舰船和装备系统需求。实战化系统需求是对实战化使用需求的部分承接,也是装备系统要素在实际作战场景下的实例化结果。因此,本文将舰船实战化系统需求定义为全活动、全逻辑、全功能、实战系统、实战资源、实战运行条件、实战运行规则下对系统运行预期效果的要求。

2. 舰船实战化需求分析的DoDAF建模方法

本节针对舰船实战化需求分析目的,在定义舰船实战化需求概念内涵基础上,建立基于DoDAF的舰船实战化需求建模分析方法,全面描述舰船实战化需求要素,建立需求要素间相互验证及追溯关系,从而为利益攸关方提供系统全面、规范一致、可视可追溯的信息支持。

2.1 舰船实战化需求分析的DoDAF模型选用方法

DoDAF元模型(DoDAF meta-model,DM2)的概念数据模型[26]如图1所示,图1给出了DM2的核心概念基元及其相互关系。首先,建立舰船实战化使用需求要素与DM2要素间的映射关系(见表1);然后,根据DoDAF作战视点与系统视点核心概念基元间的映射关系[31](见图2),建立舰船实战化系统需求要素与DM2要素间的映射关系(见表1)。

图 1 DoDAF概念数据模型

Figure 1. Conceptual data model of DoDAF

 

图 1 DoDAF概念数据模型

 

图 2 DoDAF核心实体及相互关系

Figure 2. Core entities and interrelations of DoDAF

在此基础上,建立舰船实战化使用需求及舰船实战化系统需求的适应DM2的形式化描述,二者共同作为舰船实战化需求分析的DoDAF模型选用的依据。

舰船实战化使用需求=<活动(任务,流程),组织(主体),资源,条件,规则,预期效果>。

舰船实战化系统需求=<功能(活动,逻辑),系统,资源,条件,规则,预期效果>。

DM2数据词典[26]中部分DoDAF模型的元模型要素如表2所示,其中包括作战视点(operational viewpoint,OV)、系统视点(system viewpoint,SV)和能力视点(capability viewpoint,CV)。表2中,n为必要,o为可选,df为DM2基础未用,dfo为DM2基础可选元素。以舰船实战化使用需求要素及舰船实战化使用需求适应DM2的形式化描述的要素为单位,在DoDAF数据词典中遍历52个DoDAF模型的元模型,筛选出所有描述该要素的DoDAF模型,从而得到适用于舰船实战化使用需求分析及舰船实战化系统需求分析的DoDAF模型集,如表3所示。

 

 

2.2 舰船实战化需求分析的DoDAF建模方法

体系模型开发需要指导性的体系建模方法论。Piaszczyk [25]提出基于DoDAF的MBSE方法,在体系建模过程中逐步梳理出作战需求、能力需求、功能需求、系统实体需求以及物理实体需求。罗爱民等[31]提出以活动为中心的体系建模方法,以对象系统需要执行的活动和应该具备的功能为核心,将与活动和功能相关的体系要素信息搜集、组织并关联起来。郝翎钧等[32]在以活动为中心的体系结构开发方法的基础上,提出基于核心体系结构数据的体系结构开发方法。Tao等[33]根据DM2建立DoDAF 52个模型的元模型,并运用集合论知识梳理分析元模型间的约束关系,进一步建立DoDAF模型开发流程。

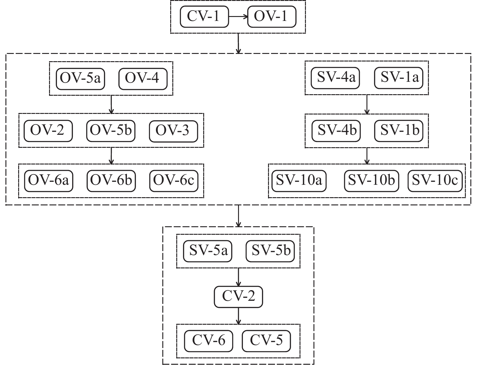
本文在上述研究的基础上,建立基于DoDAF模型的元模型间约束关系的DoDAF体系建模方法,如图3所示。

图 3 舰船实战化需求建模流程

Figure 3. Modeling process for warship actual requirements

(1)CV-1

CV-1,描述舰船装备的整体能力构想,即实战任务预期效果。

(2)OV-1

OV-1,对舰船装备遂行使命任务进行宏观描述,界定体系建模范围,识别体系重要实体和概念,描述体系与上下文环境间的交互,为后续建模提供基础想定,并规范和约束后续建模工作。针对多样化任务可开发多个OV-1。

(3)OV-5a,OV-4

OV-5a,描述舰船装备为完成任务所需执行的活动,以树状图的形式体现活动的层次结构。OV-4,描述舰船组织结构及其相互关系,主要对指挥协同关系进行建模。

(4)OV-2,OV-5b,OV-3

OV-2,描述舰船装备活动节点、活动、角色实体之间的资源交互,主要对活动的业务逻辑进行建模,表征体系在空间域上的分布。OV-5b,详细描述舰船装备实际作战场景下的活动要素,包括:活动主体、资源流、环境条件、作业规则、预期效果、活动之间的隶属关系等。OV-3是根据OV-2生成的资源流。

(5)OV-6a,OV-6b,OV-6c

OV-6a,描述各活动的作业规则。OV-6b,描述活动状态随事件的转变规则,捕获活动的约束条件。OV-6c,对事件及体系行为进行详细描述,表征体系在时间域上的分布,对于分析活动的时间及质量特性要求具有重要意义。

通过OV中各模型的迭代开发、相互验证,可以保证舰船实战化使用需求要素的合理性、一致性、完备性、可追溯性。

(6)SV-4a,SV-1a

SV-4a,描述舰船装备为完成活动所需具备的系统功能,与OV-5a类似,以树状图的形式体现系统功能的层次性。SV-1a,界定舰船系统边界,定义舰船系统实体及其外部环境。

(7)SV-4b,SV-1b

SV-4b,详细描述舰船装备实际作战场景下的系统功能要素,包括:功能主体、资源流、运行环境、流程约束、运行规则、预期效果以及功能之间的隶属关系。SV-1b,描述舰船系统节点、功能、系统实体之间的相互关系及资源交互,主要对功能逻辑进行建模,表征舰船系统在空间域上的分布,为舰船装备系统功能需求分析提供重要支撑。

(8)SV-10a,SV-10b,SV-10c

SV-10a,描述舰船各系统功能的运行规则。SV-10b,描述舰船系统功能状态随事件的转变情况,捕获系统功能的约束条件。SV-10c,对事件及系统行为进行详细分析,表征系统功能在时间域上的分布。

通过系统视点SV中各模型的迭代开发、相互验证,可以保证舰船实战化系统需求要素的合理性、一致性、完备性、可追溯性。

(9)SV-5a,SV-5b

SV-5a,描述活动与系统功能之间的映射关系,一个活动可能需要多个系统功能支撑,一个系统功能也可能支撑多个活动,因此是多对多的映射网络。SV-5a在一定程度上可检验OV-5a和SV-4a的一致性、完备性、冗余性,每个活动是否都有相应的系统功能支撑,每个系统功能是否都有要支撑的活动。SV-5b,描述活动与系统实体间的映射关系,系统实体是系统功能的载体,彼此之间也存在映射关系。

因此,SV-5a,SV-5b,SV-2之间形成闭环,通过互相检验可以保证DoDAF模型的一致性和完备性。

(10)CV-2

CV-2,描述舰船装备能力的层次结构,即能力指标体系。

(11)CV-6,CV-5

CV-6,描述能力与活动之间的映射关系。CV-5,描述能力与组织之间的映射关系。CV-5,OV-5b,OV-4之间互相检验。

通过OV及SV中各模型的迭代开发、相互验证,可以进一步保证舰船实战化使用需求及实战化系统需求要素的合理性、一致性、完备性、可追溯性。通过CV、OV及SV中各模型的迭代开发、相互验证,可以进一步保证舰船实战化使用需求及实战化系统需求要素的合理性、一致性、完备性、可追溯性。

3. 以活动为中心的实战化需求分解和提取方法

本节进一步建立以活动为中心的舰船实战化需求的映射分解方法及结构化提取方法。

3.1 以活动为中心的舰船实战化需求映射分解方法

舰船实战化需求的映射分解模型如图4所示,该模型包含舰船实战化使用需求的全部要素,并且以活动为中心,与DM2的概念数据模型保持一致。值得说明的是,该模型结构是可拓展的,可根据舰船设计中的专业维度、特征参数、设计要素等灵活构建,具体如下。

图 4 舰船实战化使用需求映射分解模型

Figure 4. Mapping decomposition model of warship actual combat use requirements

(1)活动是全任务、全流程下的活动。

(2)组织是全活动执行的实战主体,包括舰体平台、所有舰载系统、所有人员。

(3)输入输出是全活动处理的实战资源,包括所有舰载装备、物资、人员、信息等。

(4)活动在实战作业条件下执行,包括实战环境条件、实战资源条件、实战流程条件,其中:实战环境条件又分为理想环境条件、典型作业环境条件以及极端恶劣环境条件;实战资源条件是指活动执行要满足所需的资源要求,包括舰载装备需求、物资需求、人员需求、信息需求、能源需求等;实战流程条件是活动执行要满足其他关联活动的约束。

(5)实战作业规则是指活动执行过程中所需遵循的所有作战纲要、作战条令、标准、规范、指南。

(6)预期效果是全任务、全流程、全活动、实战主体、实战资源、实战作业条件、实战作业规则下对任务执行预期效果的要求,包括安全要求、状态转移要求、时效要求。安全要求包括人员安全要求、舰载装备安全要求、舰体平台安全要求以及舰载系统安全要求。安全要求、状态转移要求以及时效要求被映射分解为舰体平台要求、舰载系统要求、舰载装备要求以及人员要求。

1)舰体平台要求从以下维度分别考虑:① 舰载装备-舰体平台,描述舰载装备对舰体平台的要求。从总体布局、空间尺寸、结构承载、环境条件、资源保障等维度考虑。② 人员-舰体平台,描述人员对舰体平台的要求。从总体布局、空间尺寸、环境条件、生活保障等维度考虑。③ 舰载系统-舰体平台,描述舰载系统对舰体平台的要求。从总体布局、空间尺寸、结构承载、环境条件、资源保障等维度考虑。

2)舰载系统要求从以下维度分别考虑:① 舰载装备-舰载系统,描述舰载装备对舰载系统的要求。从功能、性能、接口、设计约束等维度考虑。② 人员-舰载系统,描述人员对舰载系统的要求。从人机界面、系统特性(可承受、可视、易达、易操作、易转运)等维度考虑。③ 舰载系统-舰载系统,描述舰载系统对舰载系统的要求。从系统功能、系统性能、接口、环境条件等维度考虑。

3)舰载装备要求包括舰体平台、舰载系统、人员提出的结构重量、空间尺寸、资源保障等方面的要求。

4)人员要求包括人员技能、人员配置等方面的要求。

3.2 以活动/功能为中心的舰船实战化需求结构化提取方法

在结构化建模范式下,作战活动模型OV-5b及系统功能描述模型SV-4b通常基于集成定义方法(integrated definition method,IDEF0)模型构建。IDEF0模型是一种结构化的系统分析方法,采用自上而下逐层分解的方式描述复杂系统的功能(活动)及其关联关系[34]。

针对舰船实战化需求结构化提取目的,需要按照IDEF0模型的规则对舰船实战化需求要素进行建模。因此,对经典IDEF0模型进行适应性改进,构建以活动/功能为中心的舰船实战化使用需求及实战化系统需求模型结构,分别如图5和图6所示。

图 5 舰船实战化使用需求模型

Figure 5. Model of warship actual use requirements

图 6 舰船实战化系统需求模型

Figure 6. Model of warship actual combat requirements

4. 示 例

本节以美国“尼米兹”级航空母舰舰载机调运作业中的舰船使用需求分析为示例,验证舰船实战化需求建模与分析方法的可行性。通过OV对舰载机调运作业场景进行建模,得到实战化的舰船使用需求,通过SV承接实战化使用需求并开展逻辑架构设计,结合以活动为中心的实战化需求分解和提取方法,得到实战化的舰载机调运系统需求,最终形成完备合理的舰船设计要求。

OV-1,舰载机调运作业是指依据飞行计划将机库内的舰载机安全高效地转运到飞行甲板上的起飞位、保障位或停机位。

OV-5a,舰载机调运作业可分解为指挥引导、系留与解系留、机库水平转运、升降机垂直转运、飞行甲板水平转运等活动,这些活动可进一步分解为元活动。OV-4,舰载机调运作业由牵引小组、升降机操作员等共同完成,牵引小组包含指挥引导员、安全员、司闸员、系留员、轮挡员、牵引车司机等。OV-5b,详细描述实际的舰载机调运作业场景下的活动要素,包括:实战主体、实战资源、实战作业条件、实战作业规则、预期任务效果以及活动之间的隶属关系等,如图7所示。OV-5b可进一步分解为元活动,以梳理更详细的实战化任务需求。OV-2,描述舰船装备活动节点、活动、角色实体之间的资源交互,主要对活动的业务逻辑进行建模,具体如图8所示。图中block,itemFlow等元素分别表示对象和对象间的交互项流。

图 7 舰载机调运作业流程(OV-5b)

Figure 7. Process of carrier-based aircrafts transport operation(OV-5b)

SV-4a,舰载机调运系统应具有空间保障、系留、水平转运、解系留、垂直转运等功能。SV-1a,舰载机调运系统应该包括指挥引导设备、转运通道、系留设备、牵引车、飞机升降机等设施设备。SV-4b,详细描述舰船装备实际作战场景下的系统功能要素,包括:实战系统、实战资源、实战运行条件、流程约束、实战运行规则、预期运行效果以及功能之间的隶属关系,具体如图9所示。SV-4b还可进一步分解为更细的子功能,以派生更详细的实战化使用需求。SV-1b,描述舰船系统节点、功能、系统实体之间的相互关系及资源交互,主要对功能逻辑进行建模,表征舰船系统在空间域上的分布,为舰船系统功能需求分析提供支撑,具体如图10所示。通过DoDAF模型的迭代开发、相互验证,进一步保证了舰船实战化需求要素的完备性、一致性及可追溯性。在此基础上,基于活动图开展舰载机调运作业逻辑仿真,如图11所示。仿真结果表明,舰载机调运作业逻辑正确、接口匹配、指标合理。A3系留与解系留功能的详细描述如图12所示,从图中可以梳理出理想环境条件、典型作业环境以及极端恶劣环境下舰载机系留与解系留作业的安全、时效、人因等方面的实战化使用需求,如表4所示。

图 8 舰载机调运作业资源流描述(OV-2)

Figure 8. Description of resource flow for carrier-based aircrafts transport operation(OV-2)

图 9 舰载机调运系统功能描述(SV-4b)

Figure 9. Functionality description of transport system for carrier-based aircrafts (SV-4b)

图 10 舰载机调运系统资源流描述(SV-1b)

Figure 10. Resource flow description of transport system for carrier-based aircrafts (SV-1b)

图 11 舰载机调运作业仿真验证模型

Figure 11. Simulation model for verifying the transport operation of carrier-based aircrafts

图 12 系留与解系留功能节点的实战使用需求(SV-4b-1)

Figure 12. Actual combat use requirements in mooring and unmooring function nodes (SV-4b-1)

5. 结 论

本文围绕舰船装备实战化需求分析目的,采用MBSE思想,引入DoDAF技术,通过对DM2要素及其约束关系研究,明确了DoDAF建模范围及流程,结合舰船设计领域特点,构建了可拓展的以活动为中心的舰船实战化需求的映射分解和结构化提取方法,从而建立了基于DoDAF的舰船实战化需求建模与分析的MBSE方法。该方法补充完善了实际作战场景下的舰船实战化需求,改善了舰船装备需求分析的系统性、完备性、合理性、规范性、一致性以及可追溯性,有利于提高舰船设计要求与舰船实战化需求的匹配度,可为后续舰船设计评价工作提供可靠依据,对于从需求设计源头提升舰船装备的正向设计水平具有极其重要的意义。在实际应用中,该方法还需与具体设计专业深度融合,从而进一步拓展应用至舰船装备研制的更复杂的设计任务中。此外,由于文中对DoDAF的拓展和改进,后续还需对现有工具进行二次开发,形成舰船装备需求分析专用工具,以更好地支撑方法的落地应用。

 

   
164   次浏览       3 次
相关文章

企业架构、TOGAF与ArchiMate概览
架构师之路-如何做好业务建模?
大型网站电商网站架构案例和技术架构的示例
完整的Archimate视点指南(包括示例)
相关文档

数据中台技术架构方法论与实践
适用ArchiMate、EA 和 iSpace进行企业架构建模
Zachman企业架构框架简介
企业架构让SOA落地
相关课程

云平台与微服务架构设计
中台战略、中台建设与数字商业
亿级用户高并发、高可用系统架构
高可用分布式架构设计与实践

最新活动计划
认证课:OCSMP-MU 4-9[在线]
需求分析与管理 4-21[北京]
基于大模型Agent应用开发 4-18[北京]
AI Spec Coding工程化实践 4-24[北京]
基于模型的数据治理 5-19[北京]
企业网络安全 5-21[北京]
具身智能技能与实践 6-11[厦门]
 
 
最新文章
架构设计-谈谈架构
实现SaaS(软件及服务)架构三大技术挑战
到底什么是数据中台?
响应式架构简介
业务架构、应用架构与云基础架构
最新课程
软件架构设计方法、案例与实践
从大型电商架构演进看互联网高可用架构设计
大型互联网高可用架构设计实践
企业架构师 (TOGAF官方认证)
嵌入式软件架构设计—高级实践
更多...   
成功案例
某新能源电力企业 软件架构设计方法、案例与实践
中航工业某研究所 嵌入式软件开发指南
某轨道交通行业 嵌入式软件高级设计实践
北京 航天科工某子公司 软件测试架构师
北京某领先数字地图 架构师(设计案例)
更多...