| 编辑推荐: |
文章简单的说明URLLC超可靠性,URLLC低时延要求,URLLC与eMBB业务共存,mini-slot机制,上行免授权机制,希望对您有所帮助
本文来自于csdn,由火龙果软件Delores编辑推荐 |
|
5G意味着什么?意味着更快的上传下载速度、炫酷的VR娱乐体验、城市物联、无人驾驶、远程医疗等。5G时代定义了三大场景:eMBB( Enhanced Mobile Broadband,增强型移动宽带)、URLLC(Ultra-reliable and Low Latency Communications,超可靠低时延通信)、mMTC(MassiveMachine Type of Communication, 海量机器类通信),每个场景都应用于不同的领域。
eMBB是5G中满足人们通话的最基本需求;mMTC针对的是物联网,在4G中已经有eMTC(enhanced Machine Type of Communication, 增强型机器类通信)、NB-IoT(Narrow BandInternet of Things, 窄带物联网)等物联网技术,通过演进至mMTC;唯独URLLC似乎是一个全新的技术。那么,我们今天的主角:URLLC,主要应用于哪些领域?例如,无人驾驶领域、远程手术、工业应用和控制、交通安全和控制、远程制造、远程培训等领域,这些领域对于可靠性和时延的要求可是极其高,否则可能就是人命关天的事。既然URLLC应用于这些领域,则它的特点就是:超可靠、低时延。 可能就大家就会产生一个疑问?如何保证URLLC的“超可靠、低时延”呢?那么就从如下几个方面简单地掰扯掰扯一下。
超可靠
对于URLLC,可靠性要求可靠到什么程度?用户面时延1ms内,传送32字节包的可靠性为99.999%。
1、 鲁棒性较强的编码和调制阶数
作为一个通信人,都明白一个道理,也就是:在数字通信中,调制阶数越高,频谱利用率越高,相应的误码率也会越高。简单从星座图上理解的话,调制阶数的高低,决定了星座图上的星座点的疏密,星座图上的星座点越密,译码的差错概率就越高,而调制阶数越高会使得星座点越多。
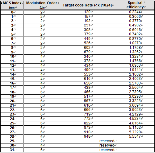
如果URLLC的调制映射表与LTE或者eMBB一样,那么就没啥区别了。直接上图对比一下URLLC和eMBB的调制映射表,URLLC的64QAM(Quadrature Amplitude Modulation, 正交振幅调制)调制映射表如图1所示,eMBB的64QAM调制映射表如图2所示。

图1 URLLC 64QAM调制映射表

图2 eMBB 64QAM调制映射表
从图1和图2中可以看出,在相同的MCS(Modulation and Coding Scheme,调制与编码策略)下,URLLC的调制阶数偏低,例如MCS Index = 10、MCS Index = 17等。也就是说,在相同的信道条件下,相比于eMBB而言,URLLC的自适应编码调制结果更趋保守,调制阶数偏低,更低的调制阶数能减少星座图上的星座点,这样就增强了调制解调的容错性。此外,还可以看出,在相同的MCS下,URLLC的目标码率也偏低,这样也就提高了URLLC的抗干扰能力。
2、支持重复传输机制
如果了解过NB-IoT,就应该听说过“重复传输”机制,因为在NB-IoT中就已引入重复传输机制。重复传输与HARQ(Hybrid Automatic Repeat reQuest, 混合自动重传请求)重传概念不同,重复是指对一个数据在一个周期内连续的k个时隙上重复传输k次,每个时隙上只有一个传输时机,同时k次重复传输所使用符号的位置和数量都相同。而在URLLC中也引入了重复传输机制,这样可以提高传输的可靠性,也可以带来一定的重复增益。
低时延
对于URLLC,低时延要求低到什么程度?用户面上行时延目标是0.5ms,下行也是0.5ms。
1、URLLC与eMBB业务共存
在URLLC和eMBB两种下行业务共存时,为了满足URLLC业务的低时延需求,基站可以使用抢占的方式优先给URLLC业务数据分配资源,优先调度URLLC业务。为什么会出现抢占的方式呢?举个栗子,当URLLC业务数据到达基站时,如果资源都被eMBB给占用了,此时无法给URLLC分资源了,那么假如正在无人驾驶呢?资源无法给URLLC业务分配,那么车上的人可能就要GAME OVER啦!因此,URLLC业务无法等待将正常传输的eMBB业务数据传输完成之后再对URLLC业务数据进行调度。而抢占指的是,基站另可牺牲当前时隙上所有eMBB业务占用的资源,就算资源已经被分配了,也要保住URLLC业务的资源调度,毕竟无人驾驶上坐的都是人,生命诚可贵呀。但是,这样也会影响eMBB用户数据的可靠性呀,如果超过10%的资源被URLLC业务抢占了,eMBB的误码率就会变高了,这样话,运营商可能就不高兴了,这抢占不行呀,会影响用户投诉呀。既然基站已经知道URLLC用户已经占用了eMBB用户的资源,也知道了具体抢占的资源,所以就有DCI2_1用于提前指示用户抢占的资源。
2、mini-slot机制
在eMBB中,最小的时间资源单位就是1个slot(根据频段的不同,1个slot占用的时长也不同),其由14个OFDM(Orthogonal Frequency Division Multiplexing, 正交频分复用)符号组成,那么对于URLLC而言呢?14个OFDM符号的时间资源单位是否满足URLLC低时延的需求?在5G中,拥有了一个新的时间资源单位,即:mini-slot,它就是URLLC的时间资源单位,其由2个OFDM符号组成,那么eMBB中由14个OFDM符号组成是Slot就含有7个mini-slot,其示意图如图3所示。

图3 mini-slot示意图
相对eMBBE而言,URLLC拥有更小的时间资源,采用miniSlot进行调度,这样就缩短了数据的传输和处理时延。
3、多SR并发机制
终端(手机)在进行上行业务传输时,需要先发送一个SR(Scheduling?Request, 调度请求)给基站,以便获得上行空口资源才行在指定位置进行上行数据的传输,而SR申请资源的回路也会消耗相应的等待时间。而在5G中是支持多个SR并发的,那么,为了促进对URLLC业务的支持,可通过将不同的逻辑信道与不同的SR进行关联,这样可以为URLLC业务提供更频繁的SR机会,这样也可以降低上行传输的时延。当然,多SR并发机制并不限制用于URLLC。
4、上行免授权机制
上行免授权(非动态调度,可参考文章:上行免授权就是指gNB通过激活一次上行授权给UE,在UE不收到去激活的情况下,将会一直使用第一次上行授权所指定资源进行上行传输,示意图如图4所示。

图4 上行免授权示意图
上行免授权可以使得终端不需要向基站发送SR进行资源请求,相对于动态调度的数据传输,省去了调度请求和数据调度的时延。为了提供更多、更密集的传输机会,以便更好的适应上行数据达到,减少等待时延,上行免授权资源的周期最小可配置为1个mini-slot(2个OFDM符号),并且周期的大小可支持灵活配置。
此外,上行免授权支持重复传输的灵活起始配置,在一个周期中包含的对应RV=0的传输机会越多,能够提供给上行免调度传输的起始机会越多,这样可降低传输数据的等待时延。目前定义了{0,0,0,0}、{0,3,0,3}、{0,2,3,1}共计3个不同的RV序列,用以支持在可靠性和时延上的不同需求。
URLLC?是移动通信行业切入垂直行业的一个突破口,是 5G 区别于 2G/3 G/4G 的一个典型场景,让我们期待它的到来。
|